- Rotary compressors are of positive displacement type in which air is compressed by entrapping it between the reduced space of two sets of engaging surfaces.
- The pressure rise is either by backflow of air (as in roots blower) or by both squeezing action and backflow (as in vanes blower).
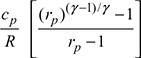
- Roots blowerWork done per minute, Wroots = (p2 − p1)V1Roots efficiency, ηroots =
where V1 = volume of air handled per minuterp =
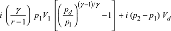
pressure ratio - Vanes type blowerWork done per revolution =
where i = number of Vanespd = maximum isentropic pressure - Indicated power, I.P. =
kW
Summary for Quick Revision
by
Tags:
Leave a Reply