In the ideal velocity diagrams, we had assumed that vw2 = u2. However, in actual operation, this condition is not satisfied in actual practice due to secondary flow effects. Actually, vw2 < u2. The difference (u2 – vw2) is called the slip. The slip factor is defined as the ratio of actual whirl component to the ideal whirl component and is denoted by ϕs.

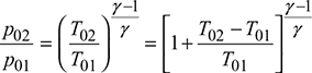
The total head pressure ratio is given by,

Substituting the value of (T02 – T01) from Eq. (10.5), we have

The actual work done per kg of air is given by:
cp (T02′ – T01) = u2vw2
The actual work done per kg of air by the compressor is always greater than u2vw2 due to fluid friction and windage losses. Therefore, the actual work is obtained by multiplying u2vw2 by the factor ϕw, called the work factor or power input factor.
cp (T02′ – T01) = ϕwu2vw2

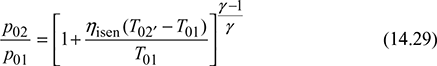
Eq. (10.29) becomes


The pressure coefficient is defined as the ratio of isentropic work to Euler work and is denoted by ϕp.

Using Eq. (14.5) and assuming radial vanes of impeller, i.e., vw2 = u2, we get

Using Eqs (14.28) and (14.30), we get

Leave a Reply