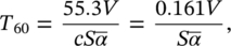
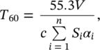
In a reverberant space, the reverberation time TR is normally defined to be the time for the sound pressure level to drop by 60 dB when the sound source is cut off (see Figure 3.20). Different reverberation times are desired for different types of spaces (see Figure 3.21). The Sabine formula is often used, TR = T60 (for 60 dB):

where V is room volume (m3), c is the speed of sound (m/s), S is wall area (m2), and
is the angle‐averaged wall absorption coefficient, or
(3.74)
where Si is ith wall area of absorption coefficient αi.


In practice, when the reverberation time is measured (see Figure 3.20), it is normal practice to ignore the first 5‐dB drop in sound pressure level and find the time between the 5‐dB and 35‐dB drops and multiply this time by 2 to obtain the reverberation time TR.
EXAMPLE 3.13
A room has dimensions 5 × 6 × 10 m3. What is the reverberation time T60 if the floor (6 × 10 m) has absorbing material
= 0.5 placed on it?
SOLUTION
We will assume that
= 0 on the other surfaces (that are made of hard painted concrete.)

Notice that the Sabine reverberation time formula T60 = 0.16 V/S
still predicts a reverberation time as
→ 1, which does not agree with the physical world. This is approximately the case of an anechoic room (see Figure 3.22). Some improved formulas have been devised by Eyring and Millington‐Sette that overcome this problem. Sabine’s formula is acceptable, provided
≤ 0.5.
EXAMPLE 3.14
A classroom has dimensions 4 × 6 × 10 m3 and a reverberation time of 1.5 seconds. (a) Determine the total sound absorption of the classroom; (b) if 35 students are in the classroom, and each is equivalent to 0.45 sabins (m2) sound absorption, what is the new reverberation time of the classroom?
SOLUTION
- the volume of the classroom is V = 240 m3. Therefore

- The total sound absorption is now 25.8 + 35(0.45) = 41.55 sabins (m2). Then


Leave a Reply