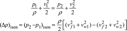
Consider the incompressible isentropic and steady flow through a cascade from condition 1 to condition 2. Using Bernoulli’s equation, we have

Now, v f1 = v f2 = v f

Consider the incompressible isentropic and steady flow through a cascade from condition 1 to condition 2. Using Bernoulli’s equation, we have

Now, v f1 = v f2 = v f

by
Tags:
Leave a Reply