The plunger is the pump cylinder.
Material selection is the same material as the main piston which can be used as plunger material.
Design analysis
Force on the plunger in compression force due to pressure

- Shear force in the hole
- If the length hp is large relative to its diameter then the force may cause buckling
- Let us take f.s 2.3
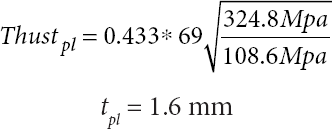
Now to find the plunger lead thickness tpl we use the following equation
where tpl = plunger lead thickness
d2 = bore diameter of cylinder
pmax = 324.8Kpa
σall = 250Mpa/2.3 = 108.6Mpa

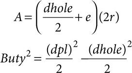
Tearing of the plunger at the hole due to vertical reaction force

The above equation of the tear area can be derived as follow,
As shown in the figure there is two possible tear areas

From Pythagoras tearoom

Considering the crushing of the material diameter of the plunger dpl is given by:


Height of the piston,

- The inner seal is located 8mm below the upper surface of the plate a=8mm the thickness of the seal t is to be determined in seal design tb = 15mm geometry analysis.
- Tb only value greater than 2ts but less than tb.

Leave a Reply