OTTO CYCLE (CONSTANT VOLUME CYCLE)

This cycle is composed of four internally reversible processes, two adiabatic and two constant volume processes. The p-v and T-s diagrams are shown in Fig. 9.6. The various processes are:

Process 1−2: Isentropic compression.

Process 2−3: Constant volume heat addition.

Process 3−4: Isentropic expansion.

Process 4−1: Constant volume heat rejection.

This cycle is used for spark ignition (petrol) engines.

Consider 1 kg of air flowing through the cycle. Since the air in the cylinder acts as a closed system, from first law of thermodynamics for isentropic compression and expansion, we have

q − w = Δu

For constant volume heat supplied and rejection processes, since w = 0,

q = Δu = cv ΔT

images

Figure 9.6 Otto cycle: (a) p-v diagram, (b) T-s diagram

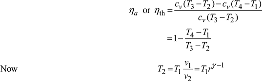
Heat supplied       qs = q2−3 = cv(T3 – T2)

Heat rejected       qr = q4−1 = cv (T4 – T1)

Work done per cycle, wnet = qs – qr = cv(T3 – T2) – cv(T4 – T1)

Air standard (or thermal) efficiency = images

images

where images

images

where imagespressure ratio

images
images
images

images

Figure 9.7 Otto cycle thermal efficiency v’s compression ratio

The air standard efficiency of Otto cycle depends on compression ratio only and increases as compression ratio increases (Fig. 9.7). In actual engine working on Otto cycle, the compression ratio varies from 5 to 8. This engine is used for spark ignition engines working on petrol.

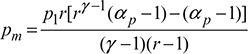
Mean Effective Pressure (m.e.p.). It may be defined as the ratio of work done to the displacement volume of piston.

Work done, w = cv[(T3 – T2) – (T4 – T1)]

Displacement volume, vs = v1 – v2

M.E.P., images

images
images
images

Posted

in

by

Tags:

Comments

Leave a Reply

Your email address will not be published. Required fields are marked *