OPEN CYCLE CONSTANT PRESSURE GAS TURBINE

The open cycle constant pressure gas turbine plant is shown diagrammatically in Fig. 16.8. The fuel is burned with air coming out from the compressor into the combustion chamber. The products of combustion from the combustion chamber are passed through the turbine and developed the required power. Part of the power developed is used to run the compressor. The gases leaving the turbine are exhausted to atmosphere.

Let a = mass rate of flow of air

f = mass rate of flow of fuel

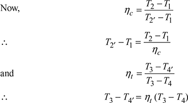
Compressor work,  Wc = a cpa (T2 − T1)

Turbine work,    Wt = (a + fcpg (T3 − T4)

where cpacpg = specific heat of air and gases, respectively

Network Wnet = Wt − Wc = (a + fcpg (T3 − T4′) − acpa (T2′ − T1)

Heat supplied, Q = f × C.V.

where CV = calorific value of fuel

images

Figure 16.8 Open cycle constant pressure gas turbine: (a) Schematic diagram, (b) T-s diagrams

Thermal efficiency, images

images
images
images

Posted

in

by

Tags:

Comments

Leave a Reply

Your email address will not be published. Required fields are marked *