METHODS FOR IMPROVEMENT OF THERMAL EFFICIENCY OF OPEN CYCLE CONSTANT PRESSURE GAS TURBINE

The thermal efficiency of open cycle constant pressure gas turbine can be improved by the following methods:

  1. Regeneration
  2. Intercooling
  3. Reheating
  4. Combination of above

1 Regeneration

In this method, the heat of the exhaust gases is used to heat the air coming out from the compressor, thus reducing the mass of fuel supplied in the combustion chamber. A schematic diagram of such a plant is shown in Fig. 16.9 (a).

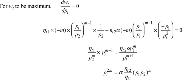
  1. Without Machine EfficienciesThe T-s diagram without machine efficiencies is shown in Fig. 16.9 (b).For 1 kg of airCompressor work,   wc = w1 − 2 = cp (T2 − T1)Heat supplied,    qs = q5 − 3 = cp (T3 − T5)Turbine work,    wt =w3 − 4 =cp (T3 − T4)Net work,     wnet = wt – wc = cp (T3 – T4) – cp (T2 – T1)imagesFigure 16.9 Open cycle gas turbine with regeneration: (a) Schematic diagram, (b) T-s diagram without machine efficiencies, (c) T-s diagram with machine efficienciesThermal efficiency, imagesIn an ideal regenerator, T4 = T5images images images images imagesFigure 16.10 Variation of thermal efficiency with pressure ratio for open cycle gas turbine with regenerationThe variation of thermal efficiency with pressure ratio is shown in Fig. 16.10. It may be seen that thermal efficiency increases with an increase in images and decreases with increase in rp.
  2. Considering Machine EfficienciesThe T-s diagram is shown in Fig. 16.9 (c).images images images images imagesFigure 16.11 Actual regeneration process images images
  3. Effectiveness of RegeneratorIn actual practice, the rise in temperature from T2′ to T5 = T4′ is not possible. The actual temperature of air will be T5′ < T5. Hence, actual thermal efficiency [see Fig. (16.11)] of the cycle becomes,imagesThe effectiveness of the regeneration is given byimages imageswhere ag = mass rate of flow of air and exhaust gases, respectivelycpacpg = specific heats of air and exhaust gases, respectively.

2 Intercooling

The work consumed by the compressor can be reduced by compressing the air in two stages and incorporating the intercooler in between, as shown in Fig. 16.12 (a). The corresponding T-s diagram is shown in Fig. 16.12 (b).

images

images

Figure 16.12 Gas turbine plant with intercooling: (a) Schematic diagram, (b) T-s diagram

images

images
images

For perfect cooling, T3 = T1 and if nc1 = nc2 = nc then

images
images
images
images
images

wnet = wt – wc = cp (T5 – T6) – [cp (T2 – T1) + cp (T4 – T3)]

images

For perfect intercooling,T3 = T1 and if hc1 = ηc2 = ηc, then

images
images
images
images

images
images
images
images

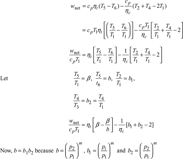
3 Reheating

A considerable increase in power output can be achieved by expanding the gases in two stages with a reheat combustion chamber between the two as shown in Fig. 16.13 (a). The corresponding T-s diagram is shown in Fig. 16.13 (b).

wt = cpg (T3 – T4′) + cpg (T5 – T6′)

cpg ηt1 (T3 – T4) + cpg ηt2 (T5 – T6)

images

where images

Let images

images

images

Figure 16.13 Gas turbine plant with reheating: (a) Schematic diagram, (b) T-s diagram

images
images

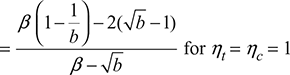
If ηt1 = ηt2 = ηt and T5 = T3, then

images

images
images

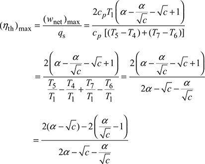
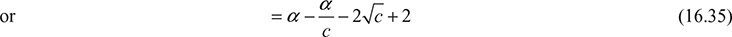
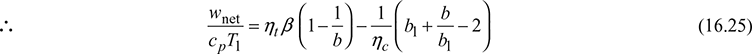
4 Reheat and Regenerative Cycle

This cycle is shown in Fig. 16.14.

wc = cp (T2 – T1)

qs = q7 – 3 + q4 – 5 = cp (T3 – T7) + cp (T5 – T4)

wt = w3 – 4 + w5 – 6 = cp (T3 – T4) + cp (T5 – T6)

images

Figure 16.14 Gas turbine plant with reheat and regeneration: (a) Schematic diagram, (b) T-s diagram

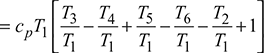
Net work wnet = wt – wc

cp [(T3 – T4) + (T5 – T6) – (T2 – T1)]

images

Let images so that rp = r1r2

images

So that c = c1c2

images

Now, images

images
images
images

images

Now, T7 = T4 and T5 = T3

images
images

5 Cycle with Intercooling and Regeneration

The schematic arrangement and T-s diagram of the cycle are shown in Fig. 16.15.

wc = w1 – 2 + w3 – 4 = cp [(T2 – T1) + (T4 – T3)]

qs = q7 – 5 = cp (T5 – T7)

wt = w5 – 6 = cp (T5 – T6)

wnet=wt – wc = cp [(T5 – T6) – (T2 – T1) – (T4 – T3)]

images

Let images so that c = c1c2 and T3 = T1

images

images

Figure 16.15 Gas turbine plant with inter cooler and regeneration: (a) Schematic diagram, (b) T-s diagram

images
images
images

Now, qs = cp (T5 – T7)

images
images

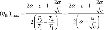
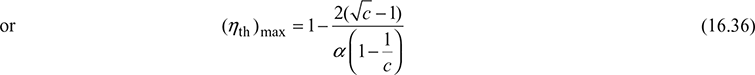
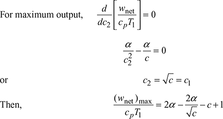
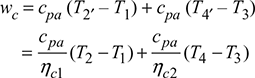
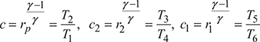
6 Cycle with Intercooling and Reheating

The schematic arrangement of this cycle is shown in Fig. 16.16 (a) and the corresponding T-s diagram in Fig. 16.16 (b).

wc = cp [(T2 – T1) + (T4 – T3)]

qs = cp [(T5 – T4) + (T7 – T6)]

wt = cp [(T5 – T6) + (T7 – T8)]

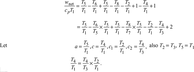
wnet = wt – wc = cp [(T5 – T6) + (T7 – T8) – (T2 – T1) – (T4 − T3)]

images

Now, T3 = T1 and T7 = T5 for perfect intercooling and reheating, respectively. Then,

images

Thus, c = c1c2

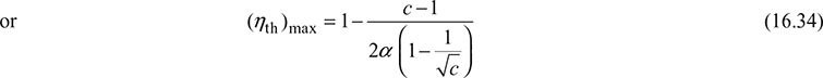
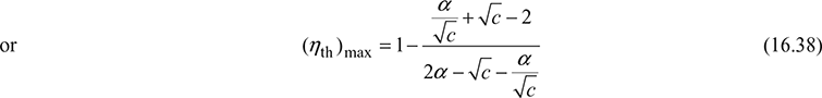
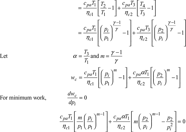
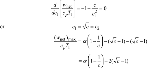
For maximum work output, images

or images

images

Figure 16.16 Gas turbine cycle with intercooler and reheating: (a) Schematic diagram, (b) T-s diagram

images

images
images
images
images

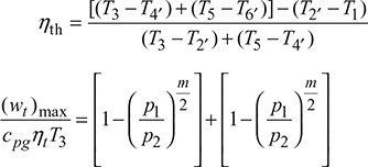
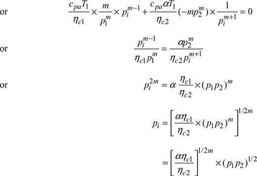
7 Cycle with Intercooling, Regeneration and Reheating

The schematic arrangement of the cycle and corresponding T-s diagram are shown Fig. 16.17.

wc = cp [(T2 − T1) + (T4 − T3)]

qs = cp [(T5 − T9) + (T7 − T6)]

wt = cp [(T5 − T6) + (T7 − T8)]

wnet = wt − wc = cp [(T5 − T6 + T7 − T8) − (T2 − T1 + T4 − T3)]

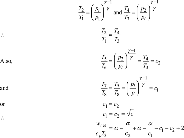
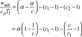
T7 = T5

images

Let imagesT1=T3 and T5=T7 so that c1=c2

images

Posted

in

by

Tags:

Comments

Leave a Reply

Your email address will not be published. Required fields are marked *