Brake power is measured with the following ways:
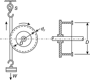
- Rope brake dynamometer: A rope brake dynamometer is shown in Fig. 11.13. A rope is wound around the brake drum, whose one end is connected to the spring balance S suspended from overhead and the other end carries the load W. In this arrangement, the whole power developed by the engine is absorbed by the friction produced at the rim of the brake drum. The rim of the brake drum is generally water-cooled to absorb the heat generated due to rubbing action of rope on rim.LetW = dead weight on the rope, NS = spring pull, ND = outer diameter of brake drum, mdr = diameter of rope, mN = speed of engine, rpmNet load acting on brake drum = (W − S) NEffective radius of brake drum,
Frictional torque rating on brake drum,Tf = (W − S) × R Nm
Figure 11.13 Rope brake dynamometer - Prony brake: The arrangement of this braking system is shown in Fig. 11.14. It consists of brake shoes which are clamped on the rim of the brake drum by means of bolts. The pressure on the rim is adjusted with the help of nuts and springs. A load lever extends from top of the brake and a load carrier is attached to the end of the load lever. The weights kept on this load carrier are balanced by the reaction torque in the shoes. The load lever is kept horizontal to keep its length constant.
Figure 11.14 Prony-brake arrangement

where
W = load on load carrier, N
L = distances from centre of shaft to load, m.
Example 11.5
A four-cylinder engine running at 1200 rpm gave 18.6 kW brake power. The average torque when one cylinder was cut off was 105 N.m. Determine the indicated thermal efficiency if the calorific value of the fuel is 42,000 kJ/kg and the engine uses 0.34 kg of petrol per kWh of brake power.
Solution
Given that i = 4, N = 1200 rpm, (BP)n = 18.6 kW, T3 = 105 N.m, CV = 42,000 kJ/kg
BSFC = 0.34 kg /kWh

(BP)n − (BP)n−1 = (IP)n − (IP)n−1 = (IP)1
∴ (IP)1 = 18.6 − 13.2 = 5.4 kW
Indicated power of 4 cylinders,
(IP)n = i × (IP)1 = 4 × 5.4 = 21.6 kW


Fuel consumption, ![]()

Indicated thermal efficiency,

Example 11.6
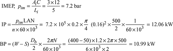
A single cylinder four-stroke oil engine works on a diesel cycle. The following readings correspond to full load conditions:
Area of indicator diagram = 3 cm2, Length of the diagram = 5 cm, Spring constant = 12 bar/cm2. cm, Speed of the engine = 500 rpm, Load on the brake = 400 N, Spring reading = 50 N
Diameter of brake drum = 120 cm, Fuel consumption = 2.75 kg /h, Calorific value of fuel = 42000 kJ/kg, Diameter of cylinder = 16 cm, Stroke length of piston = 20 cm. Determine (a) the friction power, (b) the mechanical efficiency, (c) the brake thermal efficiency, and (d) the brake mean effective pressure.
Solution
Given that n = 2, Ai = 3 cm2, Li = 5 cm, C = 12 bar/cm2. cm, N = 500 rpm, W = 400 N, S = 50 N, Db = 120 cm, ṁf = 2.75 kg /h, CV = 42,000 kJ/kg, d = 16 cm, L = 20 cm

- Frictional power,FP = IP − BP = 12.06 − 10.99 = 1.07 kW
- Mechanical efficiency

- Brake thermal efficiency

- Brake mean effective pressure

Example 11.7
The following data are known for a four-cylinder four-stroke petrol engine: cylinder dimensions: 11 cm bore and 13 cm stroke, engine speed: 2250 rpm, brake power: 50 kW, friction power: 15 kW, fuel consumption rate: 10.5 kg /h, calorific value of fuel: 50,000 kJ/kg, air inhalation rate: 300 kg /h, and ambient condition: 15°C, 1.03 bar. Estimate (a) brake mean effective pressure, (b) volumetric efficiency, (c) brake thermal efficiency, and (d) mechanical efficiency.
Solution
Given that D = 11 cm, L = 13 cm, N = 2250 rpm, BP = 50 kW, FP = 15 kW, ṁf = 10.5 kg /h. CV = 50,000 kJ/kg, ṁa = 300 kg /h, ta = 15°C, pa = 1.03 bar, i = 4
or 
- Volumetric efficiency
Swept mass of air per second
- Brake thermal efficiency,

- Indicated power,IP = BP + FP = 50 + 15 = 65 kWMechanical efficiency

Example 11.8
The following data relates to a four-cylinder, four-stroke petrol engine:
Diameter of piston = 80 mm, length of stroke = 120 mm
Clearance volume = 100 × 103 mm3
Fuel supply = 4.8 kg /h. calorific value = 44100 kJ/kg
When the Morse test was performed the following data were obtained:
BP with all cylinders working = 14.5 kW
BP with cylinder 1 cut-off = 9.8 kW
BP with cylinder 2 cut-off = 10.3 kW
BP with cylinder 3 cut-off = 10.14 kW
BP with cylinder 4 cut-off = 10 kW
Find the IP of the engine and calculate indicated thermal efficiency, brake thermal efficiency, and relative efficiency.
Solution
Given that i = 4, n = 2, d = 80 mm, L = 120 mm, Vc = 100 × 103 mm3, ṁf = 4.8 kg /k, CV = 44100 kJ/kg, (BP)n = 14.5 kW, (BP)1 = 9.8 kW, (BP)2 = 10.3 kW, (BP)3 = 10.14 kW, (BP)4 = 10 kW
(IP)1 = (BP)n − (BP)n−1
∴ (IP)1 = 14.5 − 9.8 = 4.7 kW
(IP)2 = 14.5 − 10.3 = 4.2 kW
(IP)3 = 14.5 − 10.14 = 4.36 kW
(IP)4 = 14.5 − 10 = 4.5 kW
Indicated power, ![]()
Indicated thermal efficiency,

Brake thermal efficiency,

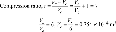
Swept volume, ![]()
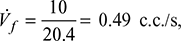
Compression ratio, 

Relative efficiency, ![]()
Example 11.9
Find the air-fuel ratio of a four-stroke, single-cylinder, air-cooled engine with a fuel consumption time for 10 cc as 20.4 s and air consumption time for 0.1 m3 as 16.3 s. The load is 17 kg at the speed of 3000 rpm. Find the brake specific fuel consumption and brake thermal efficiency. Assume the density of air as 1.175 kg /m3 and specific gravity of fuel to be 0.7. The lower heating value of fuel is 43MJ/kg and dynamometer constant is 5000.
Solution
Given that
W = 17 kg, N = 3000 rpm, ρa = 1.175 kg /m3, sf = 0.7, LCV = 43 MJ/kg, C = 5000
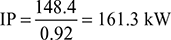
ṁf = V̇f ρf = V̇f × sf × ρw = 0.49 × 10−6 × 0.7 × 103 = 0.343 × 10−3 kg /s
ṁa = V̇a ρa = 6.135 × 10−3 × 1.175 = 7.208 × 10−3 kg /s
A /F ratio = 
Brake power, ![]()
Brake specific fuel consumption, ![]()
Brake thermal efficiency, 
Example 11.10
The following data refers to a test on a single cylinder oil engine working on four-stroke cycle:
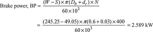
Diameter of brake wheel = 60 cm; rope diameter = 3 cm; dead load is 25 kg, spring balance reading = 5 kg, and the engine is running at 400 rev/min. The indicator diagram has area = 4 cm2, length = 6 cm, and spring stiffness is 12 bar/cm. The fuel consumption is 0.23 kg /kWh and the fuel used has a calorific value 43963.5 kJ/kg. Taking cylinder bore 10 cm and piston stroke 15 cm, calculate the brake power, indicated power, mechanical and indicated thermal efficiencies of the engine.
Solution
Given that Db = 0.6 m, dr = 0.03 m, W = 25 × 9.81 = 245.25 N, S = 5 × 9.81 = 49.05 N, N = 400 rpm, n = 2, a2 = 4 cm2, li = 6 cm, k = 12 bar/cm, ṁf = 0.23 kg /kWh, CV = 43963.5 kJ/kg, D = 10 cm, L = 15 cm

Indicated mean effective pressure, ![]()
Indicated power, ![]()

Mechanical efficiency, ![]()
Total fuel consumption, ṁ = BP × ṁf
= 2.589 × 0.23 = 0.5955 kg /h
Indicated thermal efficiency,

Example 11.11
A four-stroke, single cylinder petrol engine mounted on a motor cycle was put to load test. The load measured on dynamometer was 30 kg with drum diameter and speed, respectively, at 900 mm and 2000 rpm. The engine consumed 0.15 kg of fuel in one minute, the calorific value of fuel being 43.5 MJ/kg. The fuel supply to the engine was stopped and was driven by a motor which needed 5 kW of power to keep it running at the same speed, the efficiency of the motor being 80%. The engine cylinder bore and stroke are respectively at 150 mm and 200 mm. Calculate (a) the brake power, (b) the indicated power, (c) the mechanical efficiency, (d) the brake thermal efficiency, (e) the indicated thermal efficiency, (f) the brake mean effective pressure and (vii) the indicated mean effective pressure.
Solution
Given that four-stroke single cylinder petrol engine, W = 30 kg, Dd = 900 mm, N = 2000 rpm, ṁf = 0.15 kg /min, CV = 43.5 MJ/kg, Pm = 5 kW, ηm = 80%, D = 150 mm, L = 200 mm, n = 2.
- Torque applied,
Break power,
- Indicated power,IP = BP + FPFrictional power,
Indicated power, IP = 27.737 + 6.25 = 33.987 kW - Mechanical efficiency,

- Brake thermal efficiency,

- Indicated thermal efficiency,

BMEP, Pbm = 4.7 bar
Example 11.12
During the trial of a single oil engine, cylinder diameter 20 cm, stroke 28 cm, working on the two-stroke cycle, and firing every cycle, the following observations were made:
Duration of trial = 1 h, total fuel used = 4.22 kg, calorific value of fuel = 44670 kJ/kg, proportion of hydrogen in fuel = 15%, total number of revolutions = 21,000, mean effective pressure = 2.74 bar, net brake load applied to a drum of 100 cm diameter = 600 N, total mass of cooling water circulated = 495 kg, temperature of cooling water: inlet 13°C, outlet 38°C, air used = 135 kg, temperature of air in test room = 20°C, temperature of exhaust gases = 370°C. Assume cp of gases = 1.005 kJ/kg.K, cp of steam = 2.093 kJ/kg.K at atmospheric pressure. Calculate the thermal efficiency and draw up the heat balance sheet.
Solution
Given that D = 20 cm, L = 28 cm, n = 1, t = 1 h, mf = 4.22 kg, CV = 44670 kJ/kg, H2 = 15%, Nt = 21000 rev, pm = 2.74 bar, W = 600 N, d = 100 cm, mw = 495 kg, twi = 13°C, two = 38°C, me = 13.5 kg, tr = 20°C, tg = 370°C, cpg = 1.005 kJ/kg. K, cps = 2.093 kJ/kg.K

Torque, T = W × d/2 = 600 × 0.5 = 300 N.m
Brake power, ![]()
Indicated power,

Thermal efficiency, ![]()
Swept volume, ![]()
Heat input, ![]()
Heat equivalent of BP, Q1 = BP × 60 = 10.996 × 60 = 659.76 kJ/min
Heat lost to cooling water, ![]()
Heat carried away by exhaust gases:
Mass of flue gases = ![]()
Steam in exhaust gases ![]()
Mass of dry exhaust gases ṁg = 2.32 − 0.095 = 2.225 kg /min
Heat in steam in exhaust gases, Q3 = ṁs [hg + cps (tg − tsat) − hfw] [∴ tsup = tg] at patm = 1.013 bar
= 0.095 [2676 + 2.093 (370 − 100) − 4.187 × 20] [ ∵ hfw = cpw × tr]
= 300 kJ/min
Heat in dry exhaust gases = ṁg × cpg (tg − tr)
= 2.225 × 1.005 × (370 − 20) = 782.6 kJ/min
Unaccounted heat loss = 3141.79 − [659.76 + 862.125 + 300 + 782.6]
= 537.305 kJ/min

Example 11.13
During a trial of a single cylinder, a four-stroke diesel engine, the following observations were recorded:
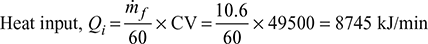
Bore = 340 mm, stroke = 440 mm, rpm = 400, area of indicator diagram = 465 mm2, length of diagram = 60 mm, spring constant = 0.6 bar/mm, load on hydraulic dynamometer = 950 N, dynamometer constant = 7460, fuel used = 10.6 kg /h, calorific value of fuel (CV) = 49500 kJ/kg, cooling water circulated = 25 kg /min, rise in temp. of cooling water = 25°C, mass analysis of fuel: carbon = 84%, hydrogen = 15%, incombustible = 1%, volume analysis of exhaust gas: carbon dioxide = 9%, oxygen = 10%, temperature of exhaust gases = 400°C, specific heat of exhaust gas = 1.05 kJ/kg°C, partial pressure of steam in exhaust gas = 0.030 bar, specific heat of superheated steam = 2.1 kJ/kg°C, saturation temp. of steam at 0.030 bar = 24.1°C. Draw up heat balance sheet on minute basis.
Solution
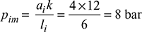
Given that n = 2, D = 0.34 m, L = 0.44 m, N = 400 rpm, Ai = 465 mm2, Ld = 60 mm, k = 0.6 bar/mm, W = 950 N, C = 7460, CV = 49500 kJ/kg, ṁf = 10.6 kg /h, ṁw = 25 kg /min, ∆tw = 25°C, C = 84%, H2 = 15%, incombustible = 1%, CO2 = 9%, O2 = 10%, teg = 400°C, cpg = 1.05 kJ/kg /°C, ps = 0.030 bar, cps = 2.1 kJ/kg°C, ts at 0.030 bar = 24.1°C
Brake power, ![]()

Indicated mean effective pressure, pim = ![]()

Indicated power, IP = 
= 61.92 kW
- Heat equivalent of BP, Qb = BP × 60 = 50.938 × 60 = 3056.28 kJ/min
- Heat lost to cooling water, Qw = ṁw − cpw ⋅ Δtw = 25 × 4.187 × 25 = 2616.87 kJ/minPercentage of N2 in exhaust gas = 100 − (9 + 10) = 81%Mass of air supplied per kg of fuel,

Mass of exhaust gases formed per kg of fuel = 1 + 22.91 = 23.91 kgMass of exhaust gases formed per minute =
Mass of steam formed and carried with the exhaust gases per minute due to the combustion of hydrogen in the fuel,
Mass of dry exhaust gases formed per minute, ṁg = 4.224 − 0.2385 = 3.9855 kg /min - Heat carried away by exhaust gases per minute, Qg = ṁg cpg (tg − ta)Let ambient air temperature, ta = 27°CQg = 3.9855 × 1.05 (400 − 27) = 1560.92 kJ/min
- Heat carried away by steam with exhaust gases per minute,Qs = ṁs [hg+ cps (Tsup − 100)]At p = 0.030 bar, ts = 24.10°C, hg = 2545.5 kJ/kgQs = 0.2385 [2545.5 + 2.1 (400 − 100)] = 757.36 kJ/min
- Heat unaccounted for = Qi − (Qb + Qw + Qg + Qs)= 8745 − (3056.28 + 2616.87 + 1560.92 × 757.36) = 753.57 kJ/min
Heat Balance Sheet:

Example 11.14
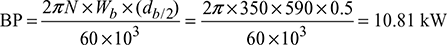
During a test on a two-stroke engine on full load, the following observations were recorded:
Speed =350 rpm, net brake load = 590 N, mean effective pressure = 2.8 bar, fuel oil consumption = 4.3 kg /h, cooling water required = 500 kg /h, rise in cooling water temperature = 25°C, air used per kg of fuel = 33 kg, room temperature = 25°C, exhaust gas temperature = 400°C, cylinder diameter = 220 mm, stroke length = 280 mm, effective brake diameter = 1 m, C.V. of fuel oil = 43900 kJ/kg, proportion of hydrogen in fuel = 15%, mean specific heat of exhaust gases = 1.0 kJ/kg-K, specific heat of steam = 2.09 kJ/kg-K
Calculate the following:
- Indicated power
- Brake power
- Draw the heat balance sheet on the basis of kJ/min[IAS, 2010]
Solution
Given that N = 350 rpm, Wb = 590 N, pmi = 2.8 bar, ṁf = 4.3 kg /h, (∆t)w = 25°C, ṁw = 500 kg /h, ma /mf = 33, t0 = 25°C, tg = 400°C, D = 220 mm, L = 280 mm, db = 1 m, CV = 43900 kJ/kg, H2 = 15%, cpg = 1.0 kJ/kg.K, cps = 2.09 kJ/kg.K
- Indicated power.

- Brake power,

- Heat balance sheet:Heat input =
Heat equivalent of BP = 10.81 × 60 = 648.6 kJ/minHeat lost to cooling water = ṁw × cpw × (Δt)w =
Heat carried away by exhaust gases:Mass of flue gases =
Steam in exhaust gases,
Mass of dry exhaust gases, ṁg = 2.437 − 0.09675 = 2.340 kg /minhf = cpw (100 − t0)Heat in steam in exhaust gases = ṁs [hf + hfg + cps (tg − 100)]= 0.09675 [4.187 (100 − 25) + 2256.9 + 2.09 (400 − 100)]= 309.4 kJ/minHeat in dry exhaust gases = ṁg × cpg (tg − 100) = 2.340 × 1.0 (400 − 100) = 702 kJ/minUnaccounted heat loss = 3146.2 − (648.6 + 872.3 + 309.4 + 702) = 613.9 kJ/min

Example 11.15
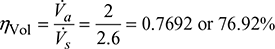
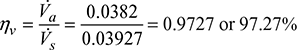
A four-stroke petrol engine develops 30 kW at 2600 rpm. The compression ratio of the engine is 8 and its fuel consumption is 8.4 kg /h with calorific value of 44 MJ/kg. The air consumption of the engine as measured by means of a sharp-edged orifice is 2 m3 per min. If the piston displacement volume is 2 litres, calculate (a) the volumetric efficiency, (b) the air-fuel ratio, (c) the brake mean effective pressure, (d) the brake thermal efficiency, and (e) the relative efficiency.
The ambient temperature air can be taken as 27°C, R for air as 287 J/kgK, and g = 1.4. The barometer reads 755 mm of mercury.
Solution
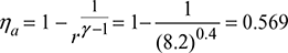
Given that n = 2, BP = 30 kW, N = 2600 rpm, r = 8, ṁf = 8.4 kg /h, CV = 44 MJ/kg, V̇a= 2m3/min, Vs = 2 litres = 2 × 10−3 m3, T0 = 27 + 273 = 300 K, R = 287 J/kg.K, γ = 1.4, pb = 755 mm of Hg
- Swept volume per minute,
Volumetric efficiency 

ṁa = V̇a × 60 × ρa = 2 × 60 × 1.169 = 140.28 kg /h
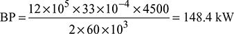
- Brake power BP =
or
or ps = 0.6923 MPa - Brake thermal efficiency
= 0.2922 or 29.22%ηa = 1− (1/rγ −1) = 1 − 1/(0.8)0.4 = 0.5647 or 56.47% - Relative efficiency

Example 11.16
A six-cylinder, four-stroke petrol engine has a swept volume of 3.0 litres with a compression ratio of 9.5. Brake output torque is 205 N-m at 3600 rpm. Air enters at 105 N/m2 and 60°C. The mechanical efficiency of the engine is 85% and air-fuel ratio is 15:1. The heating value of fuel is 44,000 kJ/kg and the combustion efficiency is 97%. Calculate (a) the rate of fuel flow, (b) the brake thermal efficiency, (c) the indicated thermal efficiency, (d) the volumetric efficiency, and (e) the brake specific fuel consumption.
Solution
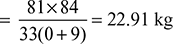
Given that i = 6, n = 2, Vs = 3 litre = 3 × 10−3 m3, r = 9.5, Tb = 205 N.m, N = 3600 rpm, p = 105 N/m2, T = 60 + 273 = 333 K, ηmech = 85%, A /F = 15, CV = 44000 kJ/kg, ηcomb = 97%
Brake power, ![]()
Indicated power, ![]()
Air standard efficiency, ![]()
Density of air, ![]()
Air volume flow rate, ![]()
Mass of air taken in per second = 0.09 × 1.046 = 0.09414 kg /s
- Mass flow rate of fuel for the engine,

- Brake thermal efficiency,
= 0.2885 or 28.85% - Indicated thermal efficiency,

- Relative efficiency,


Example 11.17
The air flow to a four cylinder, four-stroke engine is measured by means of a 4.5 cm diameter orifice, having Cd = 0.65. During a test the following data was recorded:
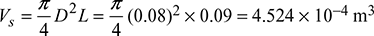
Bore = 10 cm, stroke = 15 cm, engine speed = 1000 rpm, brake torque = 135 Nm, fuel consumption = 5.0 kg /h, CVfuel = 42600 kJ/kg, head across orifice = 6 cm of water.
Ambient temperature and pressure are 300 K and 1.0 bar, respectively.
Calculate (a) the brake thermal efficiency, (b) the brake mean effective pressure, and (c) the volumetric efficiency.
Solution
Given that i = 4, n = 2, d0 = 4.5 cm, Cd = 0.65, D = 10 cm, L = 15 cm, N = 1000 rpm, Tb = 135 Nm, ṁf = 5 kg /h, CV = 42600 kJ/kg, h = 6 cm of H2O, T0 = 300 K, p0 = 1 bar, R = 287 J/kg.K
- Brake power,
Brake thermal efficiency, 
- Brake mean effective pressure,


- Δp = ρgh = 103 × 9.81 × 6 × 10−2 = 588.6 N/m2
Air inhaled per second, 
Swept volume/s,
Volumetric efficiency, 
Example 11.18
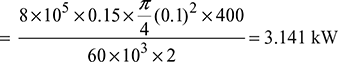
An eight-cylinder automobile engine of 80 mm diameter and 90 mm stroke with a compression ratio of 7, is tested at 4000 rpm on a dynamometer of 600 mm arm length. During a 10-minute test period at a dynamometer scale reading of 450 N, 4.8 kg of gasoline having a calorific value of 45000 kJ/kg was burnt and air at 27°C and 1.0 bar was supplied to the carburettor at the rate of 6.6 kg /min. Find (a) the brake power delivered, (b) the brake mean effective pressure, (c) the brake specific fuel consumption, (d) the brake thermal efficiency, (e) the volumetric efficiency, and (f) the air fuel ratio.
Solution
Given that i = 8, D = 80 mm, L = 90 mm, r = 7, N = 4000 rpm, l = 600 mm, t = 10 min, W = 450 N, mf = 4.8 kg, CV = 45000 kJ/kg, T1 = 27 + 273 = 300 K, p1 = 1 bar, ṁa = 6.6 kg /min
Density of air, 
- Torque on the dynamometer, T = Wl = 450 × 0.6 = 270 N.mBrake power,

or
or pbm = 9.375 bar- Brake specific fuel consumption

- Brake thermal efficiency,

- Swept volume,

Swept volume/s,
Air inhaled: p1V̇ = ṁaRT1
Volumetric efficiency, 

Example 11.19
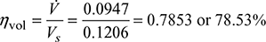
A six-cylinder, four-stroke petrol engine, with a bore of 120 mm and stroke of 180 mm under test, is supplied petrol of composition: C = 82% and H2 = 18% by mass. The Orsat gas analysis indicated that CO2 = 12%, O2 = 4% and and N2 = 84% by volume. Determine (a) the air-fuel ratio and (b) the percentage of excess air.
Calculate the volumetric efficiency of engine based on intake conditions when the mass flow rate of petrol is 32 kg /min at 1600 rpm. Intake condition are 1 bar and 17°C. Consider the density of petrol vapour to be 3.5 times that of air at same temperature and pressure. Air contains 23% oxygen by mass.
Solution
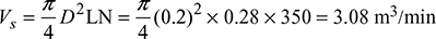
Given that i = 6, n = 2, D = 120 mm, L = 180 mm, C = 82%, H2 = 18%, CO2 = 12%, O2 = 4%, N2 = 84%, ṁf = 32 kg /h, N = 1600 rpm, p0 = 1 bar, T0 = 17 + 273 = 290 K, ρf /ρa = 3.5
Minimum mass of air required for complete combustion

Mass of air supplied, ![]()
Excess air supplied = 17.394 − 15.768 = 1.626 kg /kg of fuel
Percentage of excess air = ![]()
Actual A/F ratio = 17.394:1 kg air/kg of fuel
Mass flow rate of petrol = 32 kg /h
Swept volume per second = ![]()
Volume of air, ![]()
Volume of petrol vapour, ![]()
Total volume = 14.477 + 2.913 = 17.39 m3/kg fuel
Mixture aspirated per minute = ![]()
Volumetric efficiency, ![]()
Example 11.20
Two identical petrol engines having the following specifications are used in vehicles:
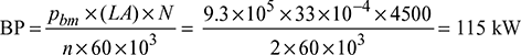
Engine 1: Swept volume = 3300 cc. normally aspirated, BMEP = 9.3 bar, rpm ≃ 4500, compression ratio = 8.2, efficiency ratio = 0.5, mechanical efficiency ≃ 0.9, mass of the engine ≃ 200 kg
Engine 2: Supercharged, swept volume = 3300 cc, BMEP ≃ 12.0 bar, rpm = 4500, compression ratio = 5.5, efficiency ratio = 0.5, mechanical efficiency = 0.92, mass of the engine ≃ 220 kg
If both the engines are supplied with just adequate quantity of petrol for the test run, determine the duration of test run so that the specific mass per kW of brake power is same for both the engines. Calorific value of petrol = 44000 kJ/kg.
Assume both the engines operate on four stroke cycle.
Solution
Engine 1
Vs = 3300 cc or 33 × 10−4 m3, pbm = 9.3 bar, N = 4500 rpm, n = 2, r = 8.2, ηr = 0.5, ηmech = 0.9, M1 = 200 kg, LCV = 4400 kJ/kg
Brake power, 
Indicated power, IP = BP/ηmech = 115/0.9 = 127.8 kW
Air standard efficiency, ![]()
Efficiency ratio, ![]()
or ηth = 0.5 × 0.569 = 0.2845
Again, IP = mf 1 × CV × (ηth)i
or 127.8 = mf 1 × 44000 × 0.2865
or mf 1 = 10.96 × 10−3 kg /s
= 10.96 ×10−3 × t × 3600 = 39.46 × t kg /h
Specific mass of engine per kW of ![]()
Engine 2:
Vs = 3300 cc or 33 × 10−4 m3, pbm = 12 bar, N = 450 rpm, n = 2, r = 5.5, ηr = 0.5, ηmech = 0.92, M2 = 220 kg


Air standard efficiency, ![]()
(ηth)i = 0.494 × 0.5 = 0.247
IP = mf 2 × CV × (ηth)i
or 161.3 = mf 2 × 44000 × 0.247
or mf 2 = 14.84 × 10−3 kg /s
= 14.84 × 10−3 × t × 3600 = 53.43 × t kg /h
Specific mass of engine per kW of ![]()
Now ![]()
or 1.2904 (39.46 × t + 200) = 53.43 × t + 220
or 38.08 = 2.511 × t
or t = 15.1 hours
Example 11.21
The following data relates to a test trial of a single-cylinder four-stroke engine:
Cylinder dia. = 24 cm, stroke length = 48 cm, compression ratio = 5.9, number of explosions/minute = 77, gas used/min at 771 mm of mercury and 15°C = 0.172 m3, lower calorific value of gas at NTP = 49350 kJ/m3, mean effective pressure from indicator card = 7.5 bar, weight of Jacket cooling water/min = 11 kg, temperature rise of cooling water = 34.2°C, specific heat of water = 4.2 kJ/kg°C.
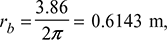
Net brake load applied at brake wheel having an effective circumference of 3.86 m is 1260 N at average speed of 227 rpm.
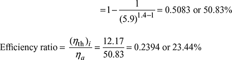
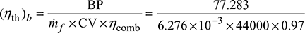
Estimate (a) the mechanical efficiency, (b) the indicated thermal efficiency and (c) the efficiency ratio, and draw a heat balance sheet for the engine assuming that exhaust gases carry away 24% of heat.
Solution
Given that D = 24 cm, L = 48 cm, r = 5.9, Wbn = 1260 N,
= 0.6143 m, Nm = 227 rpm, Ne = 77/min, V̇g = 0.217 m3/min at 15°C and 771 mm of Hg, LCV = 49350 kJ/m3 at NTP, pmi = 7.5 bar, ṁ w = 11 kg /min, (Δt)w = 34.2°C, cpw = 4.2 kJ/kg.°C
- Brake torque, Tb = Wbn × rb = 1260 × 0.6143 = 774 N.mBrake power,
Indicated power,
Mechanical efficiency, 
- Indicated thermal efficiency,
Volume of gas at NTP = 0.20873 m3/minIndicated thermal efficiency 
- Air standard efficiency, ηa =

Heat balance sheet:Heat input = V̇0 × LCV = 0.20873 × 49350 = 10300.82 kJ/minHeat equivalent of BP = 18.4 × 60 = 1104 kJ/minHeat lost to cooling water = ṁw × cpw × (Δt)w= 11 × 4.2 × 34.2 = 1580.04 kJ/minHeat lost to exhaust gases = 0.24 × 10,300.82 = 2472.20 kJ/sHeat unaccounted for = 10,300.82 − (1104 + 1580.04 + 2472.20) = 5144.58 kJ/min


Leave a Reply