The masking phenomenon is well known to most people. A loud sound at one frequency can cause another quieter sound at the same frequency or a sound close in frequency to become inaudible. This effect is known as masking. Broadband sounds can have an even more complicated masking effect and can mask louder sounds over a much wider frequency range than narrow‐band sounds. These effects are important in human assessment of product sound quality.
Noise that contains pure tones is generally annoying and unpleasant. In the case of automobile interior noise, engine and exhaust system noise consists mostly of fundamental pure tones together with integer multiplies and broadband engine combustion noise. Similarly cooling fan noise consists of pure tones and broadband aerodynamic fan noise. In the case of automobiles, exhaust and cooling fan noise have some strong pure tone components. Wind noise and tire noise are mostly broadband in nature and can mask some of the engine, exhaust, and cooling fan noise, particularly at high vehicle speed. Figure 4.9 shows the masking effect of broadband white noise. The solid lines represent the sound pressure level of a pure test tone (given in the ordinate) that can just be heard when the masking sound is white noise at the level shown on each curve. For example, it is seen that white noise at 40 dB masks pure tones at about 55 dB at 100 Hz, 60 dB at 1000 Hz, and 65 dB at 5000 Hz.

The masking of noise has been studied extensively for more than 70 years. The curves in Figure 4.9 [17, 18] are very similar to those of much earlier research work by Fletcher and Munson in 1950 but are shown here since they have been extended to lower and higher frequencies than these earlier published results [19]. One interesting fact is that the curves shown in Figure 4.9 are all almost parallel and are separated by about 10‐dB intervals, which is also the interval between the masker levels. This suggests that the masking of noise is almost independent of level at any given frequency. This fact was also established by Fletcher and Munson in 1950 as is shown in Figure 4.10 [20]. Here the amount of masking is defined to be the upward shift in decibels in the baseline hearing threshold caused by the masking noise [19]. Figure 4.9 shows that once the masker has reached a sufficient level to become effective, the amount of masking attained is a linear function of the masker level. This means, for instance, that a 10‐dB increase in the masker level causes a 10‐dB increase in the masked threshold of the signal being masked. It was found that this effect is independent of the frequency of the tone being masked and applies both to the masking of pure tones and speech [19, 20].

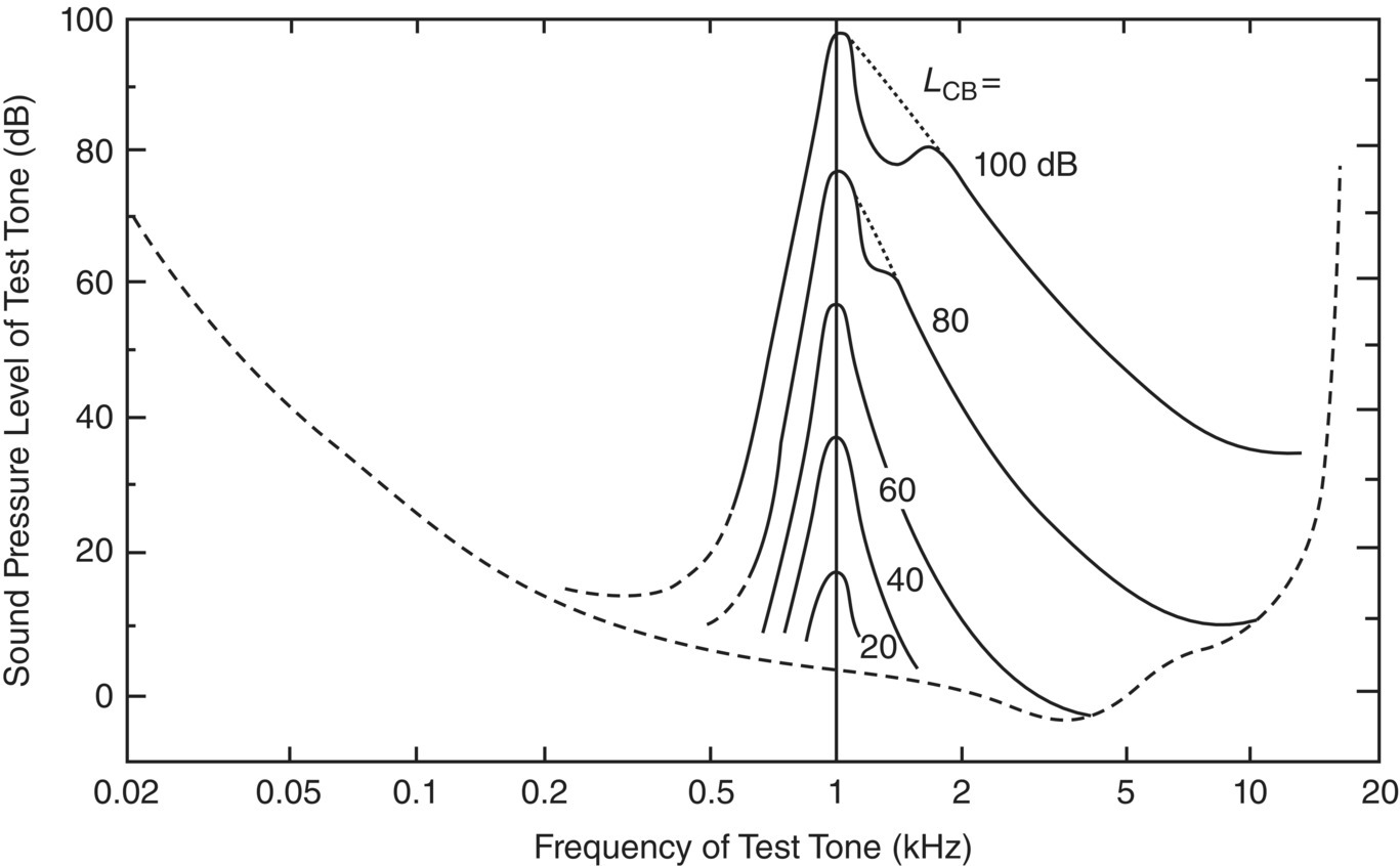
Figure 4.11 shows the masking effect of a narrow‐band noise of bandwidth 160 Hz centered at 1000 Hz. The curves in Figure 4.11 join the sound pressure levels of test tones that are just masked by the 1000‐Hz narrow‐band noise at the sound pressure level shown on each curve. It is observed that the curves are symmetric around 1000 Hz for low levels of the narrow‐band noise, while for high levels, the curves become asymmetric. It is seen that high levels of the narrow band of noise mask high‐frequency tones much better than low‐frequency tones. Figures 4.9 and 4.11 show that using either white noise or narrow‐band noise it is more difficult to mask low‐frequency than high‐frequency sounds. This fact is of some importance in evaluating the sound quality of a product since it is of no use to reduce or change the noise in one frequency range if it is masked by the noise at another frequency. There are other masking effects that are not normally as important for sound quality evaluations as the frequency effects discussed so far but still need to be described [16–19, 21–30].

When a masking noise stops, the human hearing system is unable to hear the primary sound signal immediately. This effect is known as postmasking (and is sometimes also known as forward masking.) The time it takes for the primary sound to be heard (normally called the delay time, td) depends both upon the sound pressure level of the masking noise and its duration. Figure 4.12 shows how the primary sound is affected by different sound pressure levels of the masking noise. Also shown in Figure 4.12 are dashed lines that correspond to an exponential decay in level with a time constant τ of 10 ms. It is observed that the human hearing mechanism decay is not exponential, but rather that it is nonlinear and that the decay process is complete after a decay time of about 200 ms. This fact is of practical importance since some vehicle and machinery noise is quite impulsive in character such as caused by diesel engines, automobile door closings, brake squeal, warning signals, or impacts that may mask the sounds of speech or other wanted sounds. Figure 4.13 shows how sounds are affected by different durations of the masking noise. Figure 4.13 presents the level of a just‐audible 2‐kHz test tone as a function of delay time.


Leave a Reply