The link is connected to the pedal and the base by pin joint. There are two links used to connect the socket and the base.

Material selection
- Malleable cast iron
- ASTM A602
- σt = 621 Mpa
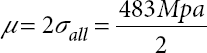
- Yield strength σt = 483 Mpa
- Let the least cross section of the link is square of side. the link is subjected to tensile compressive stress due to reaction force R1 = 3.68 KN

Where Acr = cross sectional area of the link which must be the least

Let us use factor of safety of 

Then 
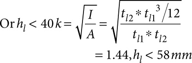
But in practical case the side of the link parallel to the axis of the socket (handle is larger than the other side) tl1 = tl2 + 2.5 mm = 5 mm, thus the factor of safety selected above will be higher.
- Considering tearing of the link the shear stress can be found as

If the link is not to buckle hl/k ≤ 40 k=slenderness ratio

Leave a Reply