HEAT REJECTED

If the air is cooled to the initial temperature, then there is no change in internal energy per kg mass of air, and all the work done is rejected to the cooling medium party during the compression process and the remaining after compression at constant pressure.

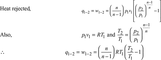
Now, q1–2 = du + w1–2

However, du = 0

For a single-stage compressor, the heat rejected is given by work done – ∫ vdp.

images
images
images

= Heat rejected to the coolant in the intercooler + Heat rejected to the coolant during compression process


Posted

in

by

Tags:

Comments

Leave a Reply

Your email address will not be published. Required fields are marked *