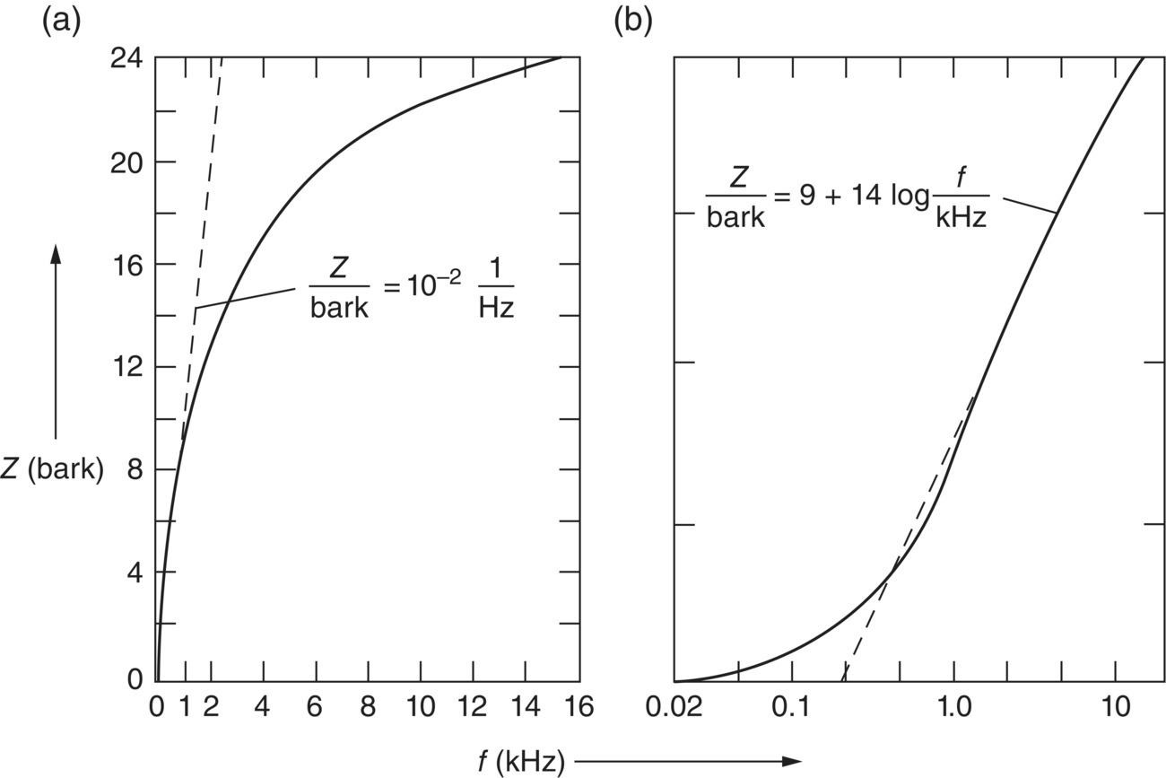
It is well known from music that humans do not hear the frequency of sound on a linear scale. A piano keyboard is a good example. For each doubling of frequency (known as an octave), the same distance is moved along the keyboard in a logarithmic fashion. If the critical bands are placed next to each other, the bark scale is produced. The unit bark was chosen to honor the German physicist Heinrich Barkhausen. Figure 4.19 illustrates the relationship between the bark (Z) as the ordinate and the frequency as the abscissa; on the left (Figure 4.19a), frequency is given using a linear scale, and on the right (Figure 4.19b) the frequency is given with a logarithmic scale. Also shown in Figure 4.19 are useful fits for calculating bark from frequency. At low frequency a linear fit is useful (Figure 4.19a), while at high frequency a logarithmic fit is more suitable (Figure 4.19b). One advantage of the bark scale is that, when the masking patterns of narrow‐band noises are plotted against the bark scale, their shapes are largely independent of the center frequency, except at very low frequency. (See Figure 4.20.)


An approximate analytical expression for auditory frequency in barks as a function of auditory frequency in hertz is given by [43]
(4.4)
Care should be taken to note that the ear does not hear sounds at a fixed number of fixed center frequencies as might be suspected from Figure 4.20. Rather, at any frequency fm considered, the average ear has a given bandwidth.
EXAMPLE 4.6
Convert f = 6 kHz into its corresponding value in bark.
SOLUTION
Using Eq. (4.4), Z = 28.32 − 12098.7(6000 + 1750)−0.81 = 28.32 − 12098.7(7.07 × 10−4) = 28.32 − 8.56 = 19.76. This result can also be obtained from Figure 4.19.
Leave a Reply