The volumetric efficiency of a compressor can be lowered by any of the following conditions:
- Very high speed
- Leakage through piston seals
- Too large a clearance volume
- Obstruction at inlet valves
- Overheating of air by contact with cylinder walls
- Inertia effect of air
Figure 12.9 shows the variation in volumetric efficiency with clearance ratio (c), and the pressure ratio (p2/p1), and polytropic index of compression (n) (by changing one factor keeping the other two factors constant). The volumetric efficiency decreases with increase in both the clearance ratio (c), and the pressure ratio (p2/p1), whereas it increases with increase in the polytropic index of compression (n).

Figure 12.9 Variation of volumetric efficiency with clearance ratio, pressure ratio and polytropic index of compression
3 Isothermal Efficiency
The p–V and T– s diagrams for isothermal and polytropic compression of air in the compressor, respectively, are shown in Fig. 12.10.
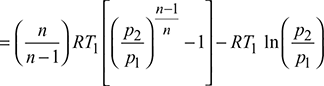
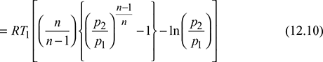
Polytropic work done,

Figure 12.10 Isothermal and polytropic compression in a compressor
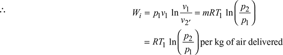
Isothermal work done ![]()
However, p1v1 = p2v2′

Work saved, ∆W = Wp − Wi


The isothermal efficiency (ηi)is a measure of the degree to which isothermal compression has been achieved. It is defined as the ratio of isothermal work to that of actual indicated work and is given by



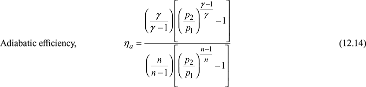
4 Adiabatic Efficiency
It is defined as the ratio of the work done on the compressor with reversible adiabatic compression to the work done with irreversible polytropic compression.

5 Calculation of Main Dimensions
The actual volume of air drawn in by the compressor per stroke,

Capacity of a single-acting compressor,


Also, ![]()
where d = piston diameter
L = length of stroke

Therefore, L and d can be determined.
Leave a Reply