Example 16.18

A gas turbine unit receives air at 100 kPa and 300 K and compresses it adiabatically to 620 kPa. The fuel has heating value of 44180 kJ/kg and fuel/air ratio is 0.017 kg fuel per kg air. The isentropic efficiencies of the compressor and the turbine are 88% and 90%, respectively. Calculate the compressor work, the turbine work, and the thermal efficiency.

Solution

The T-s diagram is shown in Fig. 16.40.

Given: p1 = 100 kPa, T1 = 300 K, p2 = 620 kPa, C.V. = 44180 kJ/kg,

F:A = 0.017 kg fuel/kg air, ηc = 0.88, ηt = 0.90

Refer to Fig. 16.40.

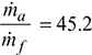
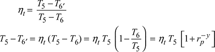
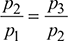
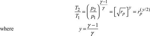
Isentropic process 1−2:

images

or T2 = 300 × 1.6842 = 505.3 K

Compressor efficiency, images

images

or T2′ = 533.3 K

Combustion process 2′−3:

f × C.V. = a × cpa (T3 − T2′) + f × cpg (T3 − T2′)

Let cpa = 1.005 kJ/kgK and cpg = 1.15 kJ/kgK

0.017 × 44180 = (1 × 1.005 + 0.017 × 1.15) (T3 − 533.3)

= 1.0246 (T3 − 533.3)

images

Figure 16.40 T-s diagram for gas turbine

or T3 = 1266.4 K

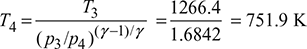
Isentropic process 3−4:

images

Turbine efficiency, images

or images

or T4′ = 803.3 K

Compressor work, wc = cpa (T2′− T1) = 1.005 (533.3 − 300) = 234.47 kJ/kg

Turbine work, images

= (1.005 + 0.017 × 1.15) (1266.4 − 803.3) = 477.47 kJ/kg

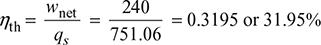
Net work, wnet = wt − w= 474.47 − 234.47 = 240 kJ/kg

Heat supplied, qs = f × C.V. = 0.017 × 44180 = 751.06 kJ/kg

Thermal efficiency, images

Example 16.19

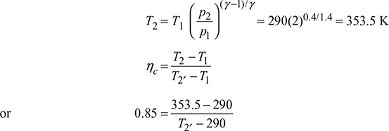
The pressure ratio of an open cycle constant pressure gas turbine plant is 6. The temperature range of the plant is 20°C and 850°C. Using the following data; cpa = 1 kJ/kgK, cpg = 1.05 kJ/kgK, γa = γg = 1.4, C.V. of fuel = 44,000 kJ/kg, ηc = 0.85, ηt = 0.90, ηcomb = 0.95, find (a) the thermal efficiency of the plant, (b) the net power developed if circulation of air is 5 kg/s, (c) the air-fuel ratio, and (d) the specific fuel consumption.

Solution

Given: rp = 6, T1 = 273 + 20 = 293 K, T3 = 273 + 850 = 1223 K, cpa = 1 kJ/kgK

cpg = 1.05 kJ/kgK, γa = γg = 1.4, CV = 44,000 kJ/kg,

ηc = 0.85, ηt = 0.90, ηcomb = 0.95, a= 5 kg/s

Refer to Fig. 16.40

Isentropic process 1−2:

images

or images

or T2′ = 523.43 K

Combustion process 2′−3

f × C.V. × ηcomb = (a × cpa + f × cpg) (T3 − T2′)

images

Isentropic process 3−4:

images

Compressor work, wc = cpa (T2′ − T1) = 1 × (523.43 − 293) = 230.43 kJ/kg

Turbine work, wt = images

images

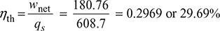
Net work per kg of air, wnet = wt − wc = 411.19 − 230.43 = 180.76 kJ/kg

Heat supplied, images

  1. Thermal efficiency of plant, images
  2. Net power developed,P = a × wnet = 5 × 180.76 = 903.8 kW
  3. Specific fuel consumption, images

Example 16.20

Determine the efficiency of a gas turbine plant fitted with a heat exchanger of 75% effectiveness. The pressure ratio is 4:1 and the compression is carried out in two stages of equal pressure ratio with intercooling back to initial temperature of 290 K. The maximum temperature is 925 K. The isentropic efficiency of the turbine is 88% and the isentropic efficiency of each compressor is 85%. For air γ = 1.4, cp = 1.005 kJ/kgK.

Solution

The T-s diagram is shown in Fig. 16.41.

Given: images T6 = 925 K, ηt = 0.88, ηc = 0.85, γ = 1.4, cp = 1.005 kJ/kgK.

Refer to Fig. 16.41.

L.P. compressor:

images

or T2′ = 364.7 K

images

∴ T4′ = 364.7 K for the H.P. compressor.

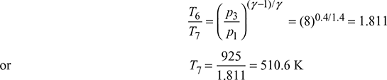
H.P. turbine:

images

images

Figure 16.41 T-s diagram for gas turbine with intercooling

images

or T7′ = 560.3 K

Heat exchanger effectiveness, images

or images

or T5′ = 511.4 K

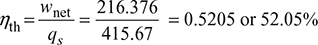
Heat supplied, qs = cp (T6 − T5′) = 1.005 (925 − 511.4) = 415.67 kJ/kg

Compressor work, wc = 2cp (T2′ − T1) = 2 × 1.005 (364.7 − 290) = 150.147 kJ/kg

Turbine work, wt = c(T6 − T7′) = 1.005 (925 − 500.3) = 366.52 kJ/kg

Net work, wnet = wt − wc = 366.52 − 150.147 = 216.376 kJ/kg

Efficiency of the gas turbine, images

Example 16.21

Air enters the compressor of a gas turbine plant operating on Brayton cycle at 1 bar and 27°C. The pressure ratio in the cycle is 6. Assuming the turbine work 2.5 times the compressor work, calculate the maximum temperature in the cycle and cycle efficiency. Take γ = 1.4

Solution

Given: p1 = 1 bar, T1 = 273 + 27 = 300 K, rp = 6, wt = 2.5 wc

Refer to Fig. 16.4 (b)

Process 1−2:

T2 = T1(rp)(γ − 1)/γ = 300(6)0.4/1.4 = 500.55 K

wc = cp (T2 − T1) = 1.005(500.55 − 300) = 201.55 kJ/kg

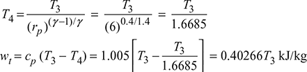
Process 3−4:

images

Now 0.40266 T3 = 2.5 × 201.55

or T3 = 1251.36 K

Maximum temperature is 1251.36 K.

Turbine work wt = 2.5 × 201.55 = 503.87 kJ/kg

Net work, wnet = wt − wc = 503.87 − 201.55 = 302.32 kJ/kg

Heat supplied, qs = cp (T3 − T2) = 1.005(1251.36 − 500.55)

= 754.564 kJ/kg

Cycle efficiency, images

Example 16.22

A gas turbine cycle takes in air at 25°C and atmospheric pressure. The compression pressure ratio is 4. The isentropic efficiency of the compressor is 75%. The inlet temperature to turbine is limited to 750°C. What turbine efficiency would give overall cycle efficiency zero percent?

Solution

Given: T1 = 273 + 25 = 298 K, p1 = 1.013 bar,

rp = 4, ηc = 0.75, T3 = 273 + 750 = 1023 K

Refer to Fig. 16.40,

Process 1−2:

T2 = T1 (rp)(γ − 1)/γ = 298(4)0.4/1.4 = 442.8 K

images

or T2′ = 491K

Process 3−4:

images

T4′ = 1023 − 334.6 ηt

Compressor work, wc = cp (T2′ − T1) = 1.005(491 − 298) = 193.96 kJ/kg

Turbine work, wt = cp (T3 − T4′) = 1.005(1023 − 1023 + 334.6 ηt)

= 336.27 ηt

Net work, wnet = wt − wc = 336.27 ηt − 193.96

Heat supplied, qs = cp (T3 − T2′) = 1.005(1023 − 491) = 534.66 kJ/kg

Cycle efficiency, images

or 336.27 ηt − 193.96 = 0

or ηt = 0.5768 or 57.68%

Example 16.23

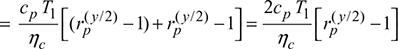
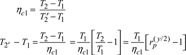
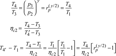
In a Brayton cycle gas turbine power plant, the minimum and maximum temperatures of the cycle are 300 K and 1200 K. The compression is carried out in two stages of equal pressure ratio with intercooling of the working fluid to the minimum temperature of the cycle after the first stage of compression. The entire expansion is carried out in one stage only. The isentropic efficiency of both compressors is 0.85 and that of the turbine is 0.9. Determine the overall pressure ratio that would give the maximum net work per kg working fluid. Derive the expression you use. γ = 1.4.

Solution

Given: T1 = T3 = 300 K, T5 = 1200 K, imagesηc1 = ηc2 = 0.85, ηt = 0.90, γ = 1.4

The T−s diagram is shown in Fig. 16.42.

images

Figure 16.42 T-s diagram for gas turbine

Compressor 1:

images

images

Compressor 2:

images

Compressor work, wc = wc1 + wc2 = cp [(T2 − T1) + (T4′ − T1)]

images

Turbine: images

images

Turbine work, images

Net work done, wnet = wt − wc

images

For maximum net work, images

images

images

Example 16.24

In an open-cycle gas turbine plant, air enters at 15°C and 1 bar, and is compressed in a compressor to a pressure ratio of 15. The air from the exit of compressor is first heated in a heat exchanger which is 75% efficient by turbine exhaust gas and then in a combustor to a temperature of 1600 K. The same gas expands in a two-stage turbine such that the expansion work is maximum. The exhaust gas from HP turbine is reheated to 1500 K and then expands to LP turbine. The isentropic efficiencies of compressor and turbine may be taken as 86% and 88%, respectively. The mechanical efficiencies of compressor and turbine are 97% each. The alternator efficiency is 98%. The output of turbo-alternator is 250 MW. Sketch the system and show the process on T-s diagram, Determine (a) the cycle thermal efficiency, (b) the work ratio, (c) the specific power output, and (d) the mass flow rate of air.

Solution

The schematic is shown in Fig. 16.43(a) and T-s diagram in Fig. 16.43(b).

  1. ηc = 0.86, ηt = 0.88, ηalt = 0.98, (ηmech)c = (ηmech)t = 0.97 images imagesFigure 16.43 Open cycle gas turbine: (a) Schematic, T-s diagramCompressor work,imagesFor maximum expansion work,imagesp5 = pi = 3.873 barT5 = images = 1600 images = 1086.7 Kηt1 = imagesor T5′ = T4 − ηt1 (T4 − T5)= 1600 − 0.88 (1600 − 1086.7) = 1158.5 KT7 = T6 imagesp7 = p1 = 1 bar, p6 = pi = 2.873 barT7 = 1500 images = 1018.8 Kηt2 = imagesor T7′ = 1500 − 0.88 (1500 − 1018.8) = 1076.5 KTurbine work,wt = wt1 + wt2= 1.005 [(1600 − 1158.5) + (1500 − 1076.5)] × 0.97= 843.245 kgNet work, wnet = wt − wc= 843.245 − 405.2 = 438.045 kJ/kgHeat exchanger effectiveness = imagesor 0.75 = imagesor T3′ = 977.15 KHeat supplied = 1.005 [(1600 − 977.15) + (1500 − 1158.5)] = 969.17 kJ/kgThermal efficiency,ηth = images = 0.452 or 45.2%
  2. Work ratio = images = 0.5195.
  3. Specific power output1 × wnet = 1 × 438.045 = 438.045 kW
  4. Mass flow rate of air = imagesimages = 559.3 kg/s

Example 16.25

A gas turbine utilises a two-stage centrifugal compressor. The pressure ratios for the first and second stages are 2.5 and 2.1, respectively. The flow of air is 10 kg/s, this air being drawn at 1.013 bar and 20°C. If the temperature drop in the intercooler is 60°C and the isentropic efficiency is 90% for each stage, calculate:(a) the actual temperature at the end of each stage and (b) the total compressor power. Assume γ = 1.4 and cp= 1.005 kJ/kgK for air.

Solution

Given: rp1 = 2.5, rp2 = 2.1, a = 10 kg/s, p1 = 1.013 bar, T1 = 20 + 273 = 293 K, ∆T2 = 60°C, ηi1 = ηi2 = 0.9, γ = 1.4, cp = 1.005 kJ/kgK.

The T–s diagram is shown in Fig. 16.44.

  1. images = 1.299or T2 = 380.68 Kηi1 = imagesor 0.9 = imagesor T2′ = 390.42 K or 117.42°CTemperature at the end of first stage is 117.42°C.Temperature at the inlet of second stage= 117.42 – 60 = 57.42°CT3 = 57.42 + 273 = 330.42 Kimages imagesFigure 16.44 T-s diagramor T4 = 408.44 Kηi2 = images0.9 = imagesTemperature at the end of second stage,T4′ = 417.11 K or 144.1°C
  2. Pc1 = acp (T2′ – T1) = 10 × 1.005 (390.42 – 293) = 979.07 kJ/sPc2 = acp (T4′ – T3) = 10 × 1.005 (417.11 – 330.42) = 877.23 kJ/sTotal compressor power,Pc = Pc1 + Pc2 = 979.07 + 871.23 = 1850.3 kW

Example 16.26

An open cycle gas turbine takes in air at 300 K and 1 bar and develops a pressure ratio of 20. The turbine inlet temperature is 1650 K. The polytropic efficiency of the compressor and the turbine each is 90%. The pressure loss in the combustor is 3% and the alternator efficiency is 97%. Take cpa= 1.005 kJ/kgK and cpg = 1.128 kJ/kgK for air and gas, respectively. The calorific value of fuel is 42 MJ/kg. Determine the overall efficiency, the specific power output, the fuel to air ratio and the specific fuel consumption.

Solution

Given: T1 = 300 K, p1 = 1 bar, rp = 20, T3 = 1650 K, hc = ht = 0.90, ∆p2 = 3%, halt = 0.97, cpa = 1.005 kJ/kgK, cpg = 1.128 kJ/kgK, C.V. = 42 MJ/kg

The T–s diagram is shown in Fig. 16.45.

Compressor process 1–2′:

images

or T2 = 300 × 2.3535 = 706 K

ηc = images

or 0.9 = images

or T2′ = 747.8 K

p2 = 20 × 1 = 20 bar

p3 = 0.97 × 20 = 19.4 bar

Combustion process 2′–3:

f × CV = f × cpa (T3 – T2′) + f × cpg (T3 – T2′)

= (a × cpa + f × cpg) (T3 – T2′)

images

Figure 16.45 T-s diagram

or f × 42 × 103 = (a × 1.005 + f × 1.128) (1650 – 747.8)

= 906.7 a + 1017.7 f

or 40982.3 f = 906.7 a

images

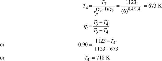
Turbine process 3–4′:

images

γimagesR = cpg – cvgcvg = cpg – R = 1.128 – 0.287 = 0.841 kJ/kgK

γimages = 1.34

T4 = images = 777.5 K

ηt = images

or 0.9 = images

or T4′ = 864.75 K

Specific power output:

wnet = wt – wc = cpg (T3 – T4′) – cpa (T4′ – T1)

= 1.128 (1650 – 864.75) – 1.005 (747.8 – 300)

= 435.72 kJ/kg of air

Overall efficiency, ηoverall = images =0.4281 or 42.81%

Specific fuel consumption = images

images = 0.1828 kg/kWh


Posted

in

by

Tags:

Comments

Leave a Reply

Your email address will not be published. Required fields are marked *