Free air of 25 m3/min is compressed from 1 bar to 2.5 bar. Calculate the indicated power required if the compression is carried out in (a) roots blower and (b) vanes blower. Assume that there is 20% reduction in volume before the backflow occurs. Also, calculate the isentropic efficiency in each case.
Solution
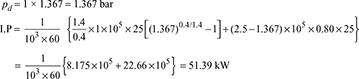
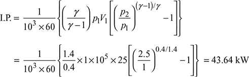
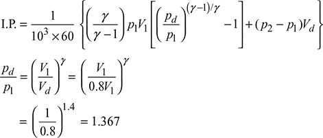
The p−V diagrams for roots blower and vanes blower are shown in Fig. 13.5(a) and (b), respectively.

Figure 13.5 p−V diagrams: (a) Roots blower, (b) Vanes blower


Isentropic efficiency of roots blower
Leave a Reply