The reservoir must be stable non-reactive material; it is not subjected to any type of stress except when the cover plate is tightened the stress resulting from this tightening action can be neglected since it may not bring significant effect.

Material selection
The reservoir only stores the oil and is not subjected to any type of iron used in pipe manufacture and can be selected as previous cylinder material but its inner walls are chromium plated to prevent corrosion and wear. All the oil that fills the main cylinder comes from the reservoir by way of the tube.
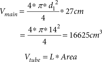
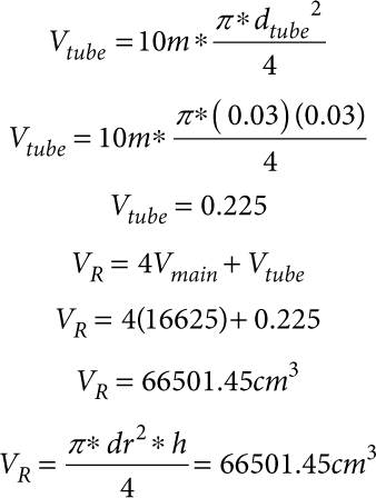
Volume of reservoir =volume of the four cylinders + volume of the tube

From geometric analysis


Let assume that h = 50cm

Let us select thickness of the reservoir tr = 5 mm
Design of the Pumping Cylinder
The pumping cylinder is small in size when compared to the other cylinder, but is subjected to the same pressure (p = 324.8Kpa).
The analysis is the same with the previous cylinder analysis,

Material for pumping cylinder
Normalize steel of carbon content of 2% yield strength σy =250Mpa. This material satisfies the following criteria
- Availability
- Corrosion resistance and mechanical stability
- Manufacturing feasibility
Design analysis
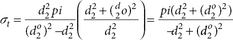
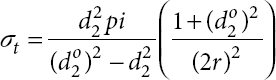
The pump is subjected to both tangential and radial stress
Tangential stress
where
d2=internal diameter
d2o = outer diameter
r =point of maximum pressure
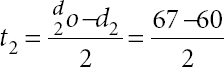
The maximum pressure at r=d2/2 thus


The tangential stress σt can be

From geometry analysis d2 =60mm
Thus 

d2o = 67mm
Thus, thickness of the cylinder is

t2=3.5mm = Thickness of the pump cylinder
Leave a Reply