Material selection
Malleable cast iron with the following material property can be selected as pin
- ASTM A602
- σTENSILE 621Mpa
- Yield strength σy = 483Mpa
- Let us take factor of safety n = 2



Design analysis

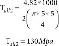
2 Pin in the plunger socket joint,


Since 130<150Mpa there for the design is safe.
Leave a Reply