The Davis steering mechanism shown in Figure 6.3 is an exact steering mechanism which consists of slotted links AM and BH attached to front wheel axle. These slotted links turns on the pivots A and B respectively. With the help of sliding members at P and Q, the rod CD is restricted to move along its length. These constraints are linked to the slotted link BH and AM by turning and sliding pairs at each end. By moving CD to either sides of its nominal position, the steering can be affected. The position of CD for left turn is shown by C′D′.

Let a = Vertical distance between AB and CD,
b = Wheel base,
d = Horizontal distance between AC and BD,
c = Distance between the pivots A and B of the front axle
x = Distance moved by AC to AC′ = CC′ = DD′, and
α = Angle of inclination of the links AC and BD, to the vertical.
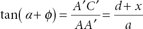
From triangle AA′C′,

From triangle AA′C,

From triangle BB′D′,

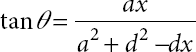
We know that 
or 

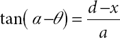
Similarly, from
, we get

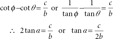
We know that for correct steering,

Leave a Reply