CYCLE OPERATION WITH MACHINE EFFICIENCY

1 Maximum Pressure Ratio for Maximum Specific Work

It is not possible to achieve isentropic compression and expansion in the actual Brayton cycle because of inevitable losses due to friction and turbulence in the compressor and turbine. Therefore, the temperature at the end of compression and expansion are higher than that in an ideal cycle for the same pressure ratio. The actual Brayton cycle is shown in Fig. 16.7.

Isentropic efficiency of compressor, images

Isentropic efficiency of turbine, images

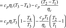
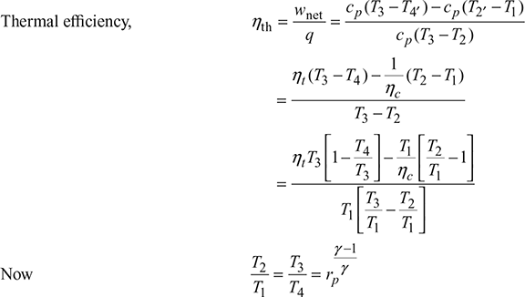
Net specific work available,

wnet = wt − wc = cp (T3 − T4′) −cp (T2′ − T1)

images
images

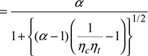
For specific work output to be maximum for given temperature limits,

images

images

Figure 16.7 Actual Brayton cycle with machine efficiencies

images
images

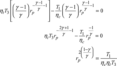
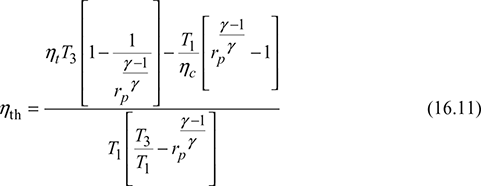
2 Optimum Pressure Ratio for Maximum Cycle Thermal Efficiency

Heat supplied, q = cp (T3 – T2) = cp (T3 – T2)

images
images

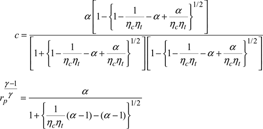
The thermal efficiency of the cycle is dependent only on rp for the fixed values of T1 and T3. The condition for the maximum value of thermal efficiency for given temperature limits is

images

Let images

images

Taking -ve sign

images

images
images

Posted

in

by

Tags:

Comments

Leave a Reply

Your email address will not be published. Required fields are marked *