COMPARISON OF ROTARY AND RECIPROCATING COMPRESSORS

The comparison of rotary and reciprocating compressors is given in Table 13.1.

 

Table 13.1 Comparison of rotary and reciprocating compressorsimage

Example 13.3

Free air of 30 m3/min is compressed from 101.3 kPa to 2.23 bar in roots blower. Determine the power required and the isentropic efficiency.

Solution

The p − V diagrams for roots blower is shown in Fig. 13.7.

images

Figure 13.7  V diagrams

V1 = 30 m3/min, p1 = 101.3 kPa

p2 = 2.23 bar

Refer Fig. 13.8.

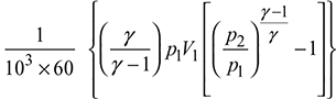
Indicated power, I.P. = images

images

Isentropic indicated power, (I.P.)isen = images

images

Isentropic efficiency, ηisen = images

images

Posted

in

by

Tags:

Comments

Leave a Reply

Your email address will not be published. Required fields are marked *