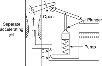
Choke

During cold starting period, at low cranking speed and before the engine has warmed up, a mixture much richer than usual mixtures (almost five to 10 times more fuel) must be supplied because a large fraction of the fuel will remain liquid even in the cylinder, and only the vapour fraction can provide a combustible mixture with the air. The most common means of obtaining this rich mixture is by the use of a choke, which is a butterfly-type valve placed between the entrance to the carburettor and the venturi throat as shown in Fig. 10.33. By partially closing the choke, a large pressure drop can be produced at the venturi throat that would normally result from the amount of air flowing through the venturi. This strong suction at the throat will draw large quantities of fuel from the main nozzle and supply a sufficiently rich mixture so that the ratio of evaporated fuel to air in the cylinders is within combustible limits. Choke valves are sometimes made with a spring loaded so that high-pressure drops and excessive choking will not result after the engine has started and has attained a higher speed.

images

Figure 10.32 Acceleration pump

images

Figure 10.33 Choke valve with spring-loaded bypass

Some manufacturers make the choke operate automatically by means of a thermostat such that when the engine is cold, the choke is closed by a bimetallic element. After starting and as the engine warms up, the bimetallic element gradually opens the choke to its fully open position.

An alternative to the choke is the provision of auxiliary fuel jets that are opened manually or automatically only as required.

Example 10.1

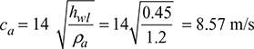
A single jet carburettor has to supply 5 kg of air per minute. The air is at a pressure of 1.013 bar and at a temperature of 27°C. Calculate the throat diameter of the choke for air flow velocity of 90 m/s. Take the velocity coefficient as 0.8. Assume the flow to be incompressible and isentropic.

Solution

Given that a = 5 kg/min, p1 = 1.013 bar, T1 = 273 + 27 = 300 K, c2 = 90 m/s, Cda = 0.8

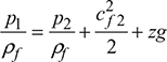
Applying Bernoulli’s theorem between inlet and throat, we have

images

 

images

Density of air at inlet, ρa1 = images

Density of air at throat, ρa2 =images

Mass flow rate at throat, a = ρa2 A2c2

images

throat dia, d2 = 0.0325 m or 32.5 mm

Example 10.2

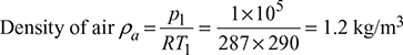
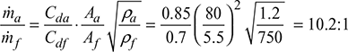
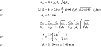
A six-cylinder, four-stroke engine, 80 mm in diameter and 120 mm stroke length runs at 3600 rpm. The volumetric efficiency of the engine is 0.8. If the maximum head causing the flow is limited to 11.765 cm of mercury, find the throat diameter of the venturi required. Find the diameter of the nozzle orifice if the desired A: F ratio is 15:1. Take Cda = 0.9, Cdf = 0.7, ρa = 1.3 kg/m3 and ρf = 720 kg/m3.

Solution

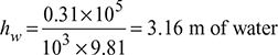
Given that i = 6, d = 0.08 m, L = 0.120 m, N = 3600 rpm, ηvol. = 0.8, hHg = 11.765 cm

Volume flow rate of air, images

images

Mass flow rate of air, a = ρaa = 1.3 × 0.0868 = 0.113 kg/s

 

hw = hHg × γHg = 11.765 13.6 = 160 of water

images

Example 10.3

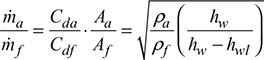
The throat diameter of a carburettor is 80 mm and the nozzle diameter is 5.5 mm.The nozzle lip is 6 mm. The pressure difference causing the flow is 0.1 bar. Find (a) the air-fuel (A:F) ratio supplied by the carburettor neglecting nozzle lip. (b) A:F ratio considering nozzle lip and (c) the minimum velocity of air required to start the fluid flow. Neglect air compressibility. Take Cda = 0.85, Cdf = 0.7, ρa = 1.2 kg/m3 and ρf =750 kg/m3.

Solution

Given that da = 80 mm, df = 5.5 mm, z = 6 mm, ∆p = 0.1 bar, Cda = 0.85, Cdf = 0.7, ρa = 1.2 kg/m3ρf = 750 kg/m3

  1. images
  2. images images
  3. images

Example 10.4

A 4-stroke petrol engine of 2 litres capacity is to develop maximum power at 4000 rpm. The volumetric efficiency at this speed is 0.75 and the air-fuel ratio is 14:1. The venturi throat diameter is 28 mm. The coefficient of discharge of venturi is 0.85 and that for fuel jet is 0.65. Calculate (a) the diameter of the fuel jet and (b) the air velocity at the throat.

The specific gravity of petrol is 0.76. Atmospheric pressure and temperature are 1 bar and 17°C respectively.

Solution

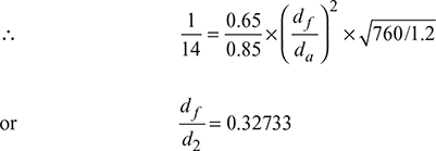
Given: Vs = 2 litres or 2 × 10−3 m3N = 4000 rpm, n = 2, ηvol = 0.75, A/F = 14/1, d2 = 28 mm, Cda = 0.85, Cdf = 0.65, ρf = 760 kg/m3, p1 = 1 bar, T1 = 17 + 273 = 290 K

images
  1. images imagesor df = 28 × 0.32733 = 9.165 mm∴ Diameter of fuel jet = 9.165 mm
  2. Volume of air supplied per cycle = stroke volume × ηvolV1 = 2 × 10−3 × 0.75 = 1.5 × 10−3 m3Mass of this air per cycle at suction condition, images= 1.8 × 10−3 kg/sMass of air supplied, imagesa = A2 Cρa2     (ρa1 = ρa2)imgor c2 = 81.2 m/s

Example 10.5

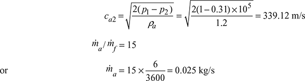
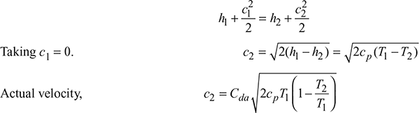
The venturi of a simple carburettor has a throat diameter of 20 mm and the fuel orifice has a diameter of 1.12 mm. The level of petrol surface in the float chamber is 6.0 mm below the throat venturi. Coefficient of discharge for venturi and fuel orifice are 0.85 and 0.78 respectively. Specific gravity of petrol is 0.75. Calculate (a) the air-fuel ratio for a pressure drop of 0.08 bar, (b) petrol consumption in kg/hr and (c) the critical air velocity. The intake conditions are 1.0 bar and 17°C. For air cp = 1.005 and cv = 0.718 kJ/kg-K.

Solution

Given: d2 = 20 mm, df = 1.12 mm, z = 6 m, Cda = 0.85, Cdf = 0.78, sf = 0.75, ∆ p = 0.08 bar, p1 = 1.0 bar, T= 290 K, cp = 1.005 kJ/kg.K, cv = 0.718 kJ/kg.K

img
  1. Fuel-air ratio,images images
  2. Petrol consumption,images images
  3. Critical air velocity images

Example 10.6

The air-fuel ratio of a mixture supplied to an engine by a carburettor is 15. The fuel consumption of the engine is 7.5 kg/h. The diameter of the venturi is 2.2 cm. Find the diameter of fuel nozzle if the lip of the nozzle is 4 mm. Take ρf = 750 kg/m3Cda = 0.82, Cdf = 0.7, atmospheric pressure = 1.013 bar and temperature = 25°C. Neglect compressibility effect of air.

Solution

Given that A: F = 15:1, f = 7.5 kg/h, da = 2.2 cm, z = 4 mm, ρf = 750 kg/m3Cda = 0.82, Cdf = 0.7, p = 1.013 bar, T = 273 + 25 = 298 K

Density of air, images

Mass flow rate of air, images

img

Example 10.7

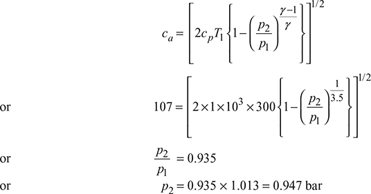
A four-stroke petrol engine of 1710 cm3 capacity is to be designed to develop maximum power at 5400 rpm, when the mixture A:F ratio supplied to the engine is 13:1. Two carburettors are to be fixed. The maximum velocity of air is limited to 107 m/s. Find the diameters of venturi and fuel nozzle jet, if ηvol (engine) = 0.7, Cda = 0.85, Cdf = 0.66, nozzle lip = 6 mm and ρf = 750 kg/m3. Atmospheric pressure and temperature are 1.013 bar and 300 K. Take cp = 1 kJ/kgK.

Solution

Given that Ve = 1710 cm3N = 5400 rpm, A:F = 13, ca = 107 m/s, ηvol = 0.7, Cda = 0.85, Cdf = 0.66, z = 6 mm, ρf = 750 kg/m3p = 1.013 bar, T = 300 K, cp = 1 kJ/kgK

Volume of air supplied to engine at STP,

img

Air flow through each carburettor,

img

Mass flow rate of air,

img

Air velocity through venturi,

img

Assuming the flow to be isentropic,

img

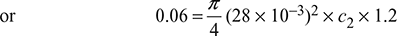
Volume of air passing through each carburettor,

2 = AacaCda

img

or da = 2 cm

Mass flow rate of fuel per carburettor,

img

Example 10.8

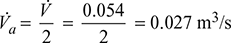
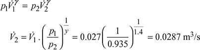
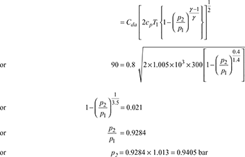
A 4-stroke petrol engine has a swept volume of 2.0 litres and is running at 4000 rpm. The volumetric efficiency at this speed is 75% and the air-fuel ratio is 14:1. The venturi throat diameter of the carburettor fitted to the engine is 30 mm. Estimate the air velocity at the throat if the discharge coefficient for air is 0.9. The ambient conditions are, pressure = 1.0 bar, temperature = 20°C. Calculate the diameter of the fuel jet if the fuel density is 760 kg/m3. For air c= 1.005 kJ/kgK and R = 287 J/kgK. Assume Cdf = 1.0.

Solution

Given: n = 2, Vs = 2 litres or 2 × 10−3 m3N = 4000 rpm, ηvol = 0.75, A/F = 14, d2 = 30 mm, Cda = 0.9, Cdf = 1.0, p1 = 1.0 bar, T= 293 K, ρf = 760 kg/m3cp = 1.005 kJ/kgK, R = 287 J/kgK

Actual volume sucked by the engine is, V1 = images

img

Air velocity at venturi throat, images

img
img

or p2 = 0.964 bar

p = p1 − p2 = 1 − 0.964 = 0.036 bar

Mass of air flowing through the venturi/s,

img

∴ f = 0.0408/14 = 2.916 × 10−3 kg/s

img

or df = 1.26 × 10−3 m or 1.26 mm

Example 10.9

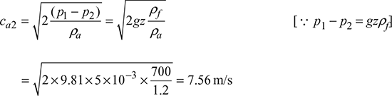
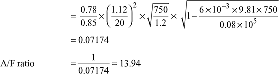
An engine fitted with a single jet carburettor having a jet diameter of 1.25 mm has a fuel consumption of 6 kg/hr. The specific gravity of fuel is 0.7. The level of fuel in the float chamber is 5 mm below the top of the jet when the engine is not running. Ambient conditions are 1 bar and 17°C. The fuel jet diameter is 0.6 mm. The discharge coefficient of air is 0.85. Air-fuel ratio is 15. Determine the critical velocity of flow at throat and the throat diameter. Express the pressure at throat in mm of water column. Neglect compressibility effect. Assume discharge coefficient of fuel flow is 0.60.

Solution

Given: dj = 1.25 mm, j = 6 kg/hr, Sf = 0.7, z = 5 mm, p1 = 1 bar, T1 = 273 + 17 = 290 K, df = 0.6 mm, Cda = 0.85, A:F = 15, Cdf = 0.60.

pV = mRT

img

ρf = Sρw = 0.7 × 103 = 700 kg/m3

Applying Bernoulli’s equation for air flow at entrance and venturi throat, we have

img

Mass of air flow per second,

img

For the flow of fuel, we have

img

or images

Mass of fuel flow per second,

img

Critical velocity of flow at throat,

img

f = Cdf ρf Af cf

or images

or cf = 14.035 m/s

Now images

or p2 = 0.31 bar

img

Again a = Cda ρa Ca2 A2

or images

or d= 9.6 mm

Pressure at throat = p/ρw ghw

or images


Posted

in

by

Tags:

Comments

Leave a Reply

Your email address will not be published. Required fields are marked *