BASIC CYCLE FOR TURBO-JET ENGINE

The basic cycle of a turbo-jet engine in T-s diagram is shown in Fig. 17.7. The various processes are as follows:

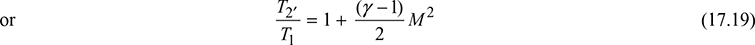
Process 1−2: Isentropic diffusion of atmospheric air from velocity c1 to c2 = 0 with diffuser efficiency of 100%. 1−2′ is the actual diffusion with diffuser efficiency ηd from p1 to p2.

Process 2′−3: Isentropic compression of air in the compressor from p2 to p4. Process 2′–3′ is the actual compression with compressor efficiency ηc.

Process 3−4: Ideal heat addition at pressure p4. Process 3′-4 is the actual heat addition at pressure p4.

Process 4−5: Isentropic expansion of gas in the turbine from p4 to p3. Process 4−5′ is the actual expansion in the turbine with turbine efficiency ηt.

Process 5′−6: Isentropic expansion of gas in the nozzle from p3 to p1. Process 5′−6′ is the actual expansion of gas in the nozzle with nozzle efficiency ηn.

Consider 1kg of working fluid flowing through the system.

Diffuser:

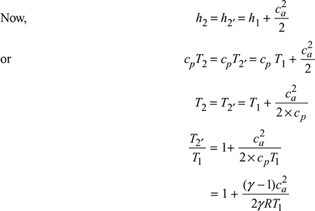
The energy equation between states 1 and 2 is as follows:

images

In an ideal diffuser, c2 = 0, q1–2 = 0 and w1–2 = 0

images
images

where cpa = specific heat of air at constant pressure

images
images
images

images

Figure 17.7 T-s diagram for turbo-jet

Compressor:

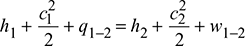
Energy equation between state 2′ and 3:

images

Compressed work, images

Assuming c3 ≃ c2′, and q2′–3 = 0, we have

wc = h3 − h2′ = cpa (T3 − T2′)

Actual compressor work, wca = h3′ − h2′

images

Combustion chamber:

Ideal heat supplied, q = q3′ − 4 = h4 − h3

images
images
images

where cpg = specific heat of gas at constant pressure

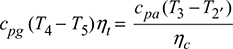
Turbine:

Energy equation between states 4 and 5:

images

If q4-5 = 0, then

Turbine work, images

If c4 ≃ c5, then

images
images

now wta = wca

images

If cpa = cpg = cp, then

 

T5′ = T4 − (T4 − T5)ηt

images

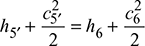
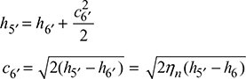
Jet nozzle:

Energy equation between states 5′ and 6:

Ideal case: images

Actual case: images

If c5′ ≃ 0 as compared to c6′, then

images
images

Thermal efficiency, images

images

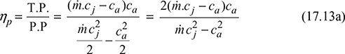
1 Thrust

Let ca = forward velocity of aircraft through air, m/s

= velocity of approach, assuming surrounding air velocity to be zero.

cj = velocity of jet of gases relative to the aircraft, m/s

images, mass rate of flow of products leaving the nozzle per 1kg of air.

Absolute velocity of gases leaving the aircraft = cj − ca

Absolute velocity of air entering the aircraft = 0

∴ Change of momentum =  (cj − ca)

images
images

2 Thrust Power

It is defined as the rate at which work must be developed by the engine if the aircraft is to be kept moving at a constant velocity ca against friction force or drag.

Thrust power, T.P. = forward thrust × speed of aircraft

images

3 Propulsive Power

The energy required to change the momentum of the mass flow of gases represents the propulsive power. It is expressed as the difference between the rate of kinetic energies of the entering air and exit gases.

images
images

4 Propulsive Efficiency

It is defined as the ratio of thrust power to propulsive power.

images
images

5 Thermal Efficiency

It is defined as the ratio of propulsive work to the energy released by the combustion of fuel.

images

6 Overall Efficiency

Overall efficiency, images

images

for η0 to be maximum, images

 

cj − 2ca = 0

images

Therefore, for maximum overall efficiency, the aircraft velocity is one-half of the jet velocity.

7 Jet Efficiency

Jet efficiency is defined as follows:

images

8 Ram Air Efficiency

In Fig. 17.2(b), process 1-2′ is the ramming process during which the total energy or stagnation enthalpy remains unchanged, if the process is assumed adiabatic, while pressure of air increases. Process 1-2 is the ideal ramming action.

images
images
images

Posted

in

by

Tags:

Comments

Leave a Reply

Your email address will not be published. Required fields are marked *