The working of an air motor is similar to that of air compressor. High pressure air is admitted to the motor cylinder through a mechanically operated inlet valve and drives the piston in the forward direction. After a part of the stroke of the piston has been performed, the air supply is cut-off and the stroke is completed after decreasing pressure as the air expands in the cylinder. After the expansion stroke is completed, the air is allowed to escape into the atmosphere through a mechanically operated discharge valve. The return stroke is performed by compressed air acting on the other side of the piston in double-acting cylinder.
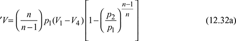
Figure 12.16 shows the p − V diagram for the air motor with clearance. Process 4–1 is the intake with the high pressure p2 at cut-off point 1. From 1 to 2, the air expands from higher pressure p2 at 1 to atmospheric pressure p1 at 2, according to the polytropic law, pVn = c. The process 2–3 represents the exhaust.

Figure 12.16 p−V diagram for an air motor
Work obtained neglecting clearance,


Work done considering clearance,


where m1 = actual mass of air delivered per cycle.
Leave a Reply