Consider two air streams 1 and 2 mixing adiabatically, as shown in Fig. 20.19(a)
Let ma1, h1, w1 = mass, enthalpy and specific humidity of entering air at 1.
ma2, h2, w2 = corresponding values of entering air at 2.
ma3, h3, w3 = corresponding values of leaving air at 3.
The mixing process on psychrometic chart is shown in Fig. 20.19(b).
For the mass balance,
ma1 + ma2 = ma3
For the energy balance,
ma1h1 + ma2 h2 = ma3 h3

For the mass balance of water vapour,
ma1w1 + ma2 w2 = ma3 w3

Eq. (20.42) can be written as,

Simplifying, we get


Figure 20.19 (a) Adiabatic mixing of air streams, (b) Mixing process on the psychrometric chart
The second term in the above expression being negligible, we get

Example 20.5
The atmospheric air at 760 mm of Hg, DBT = 20°C and WBT = 10°C enters a heating coil whose temperature is 40°C. Assuming bypass factor of heating coil as 0.5, determine for the air leaving the coil: (a) DBT, (b) WBT, (c) relative humidity, and (d) sensible heat added to the air per kg of dry air.
Solution
Given: pb = 760 mm Hg, td1 = 20°C, tw1 = 10°C, td3 = 40°C, BPF = 0.5
- Let td2 = DBT of air leaving the coilThe psychrometric process is shown in Fig. 20.20.
(b) and (c) from the psychrometric chart we find that tw2 = 14.4°Cand RH, ϕ2 = 15% - d. From the psychrometric chart,h1 = 30 kJ/kg. d.a.and h2= 40 kJ/kg. d.a.
Figure 20.20Sensible heat added to air = h2 − h1= 40 − 30= 10 kJ/kg.d.a.
Example 20.6
Moist air enters a refrigeration coil at the rate of 120 kg d.a/min at 40°C and 50% RH. The apparatus dew point of coil is 10°C and by-pass factor is 0.20. Determine the outlet state of moist air and capacity of coil in TR.
Solution
Given: ma =120 kg d.a/min, td1 = 40°C, ϕ1 = 50%, ADP = 10°C, BPF = 0.20
- Let td2 and ϕ2 be the DBT and RH of air leaving the cooling coil respectivelyThe psychrometric process is shown in Fig. 20.21.
Figure 20.21Locate point 1 (td1 = 40°C, ϕ1 = 50%) on the psychrometric chart. Join point 1 with ADP = 10°C point on the saturation line.
- Draw a vertical line at td2 = 16°C to intersect line 1-3 at point 2. Then ϕ2= 93%
- From the psychrometric chart, h1 = 101 kJ/kg d.a, and h2 = 43 kJ/kg d.a.Cooling capacity of coil, Q = ma (h1 − h2)

Example 20.7
The atmospheric air at 30°C DBT and 70% RH enters a cooling coil at the rate of 220 m3/min. The coil DPT = 15°C and its BPF = 0.15. Determine
- the temperature of air leaving the cooling coil,
- the capacity of the cooling coil in TR,
- the amount of water vapour removed per minute, and
- sensitive heat factor for the process.
Solution
Given: td1 = 30°C, ϕ1 = 70%, V1 = 220 m3/min (cmm). ADP = td3 = 15°C, BPF = 0.15
- Let td2 = temperature of air leaving the cooling coilThe psychromatric process is shown in Fig. 20.22.At td1 = 30°C and ϕ1 = 70%, tdp1 = 24°C from psychrometric chart.
Figure 20.22
From psychrometric chart, we havew1 = 18.8 g/kg.d.a.w2 = 11.8 g/kg.d.a.v1 = 0.885 m3/kgh1 = 78.5 kJ/kg.d.a.h2 = 47.8 kJ/kg.d.a.hA = 61.8 kJ/kg.d.a.Mass of air flowing through cooling coil, 
- Capacity of cooling coil = ṁa (h1 − h2) = 248.6(78.5 − 47.8) = 7632 kJ/min

- Amount of water vapour removed per minute,ṁv = ṁa(w1 − w2)= 248.6 (18.8 − 11.8) × 10−3 = 1.74 kg/min
- Sensible heat factor, SHF =

Example 20.8
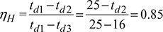
In a certain environment, the DBT of air is 25°C and RH is 40%. Determine the specific humidity, dew point and wet bulb temperature of air. This air is cooled in an air washer using recirculated spray water and having a humidifying efficiency of 0.85. Find the DBT and DPT of air leaving the air washer.
Solution
Given: td1 = 25°C, ϕ1 = 40%, ηH = 0.85
The psychrometric process is shown in Fig. 20.23
At point 1 (td1 = 25°C, ϕ1 = 40%), w1 = 7.6 g/kg d.a., tdp1 = 10.4°C
and tw1 = 16°C = td3
Let td2 = DBT of air leaving the air washer

td2 = 17.35°C
Then tdp2 = 15.2°C

Example 20.9
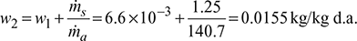
The atmospheric air at 25°C DBT and 15°C WBT is flowing at the rate of 120 cmm through a duct. The dry saturated steam at 100°C is injected into the air stream at the rate of 75 kg/h. Calculate the specific humidity, enthalpy, DBT, WBT, and RH of leaving air.
Solution
Given: td1=25°C, tw1 =15°C, V1 =120 cmm, ts = 100°C, ms = 75 kg/h or 1.25 kg/min.
The psychrometric process is shown in Fig. 20.24
At state 1 (td1 = 15°C, tw1 =15°C), w1 = 6.6 g/kg d.a., v1 = 0.853 m3/kg, h1 = 42.2 kJ/kg d.a.
Mass flow rate of air,![]()


Figure 20.24
Enthalpy of saturated steam at 100°C from steam tables, hs = 2676 kJ/kg

Locate point 2 (w2 = 0.0155 kg/kg d.a., h2 = 65.97 kJ/kg) on the psychrometric chart
Then td2 = 260°C, WBT, tw2 = 22.4°C, ϕ2 = 73%.
Example 20.10
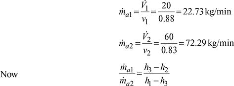
Saturated air leaving the cooling section of an air-conditioning system at 15°C at the rate of 60 m3/min is mixed adiabatically with outside air at 30°C and 60% RH at the rate of 20 m3/min. Find the specific humidity, relative humidity, DBT and the volume flow rate of the mixture.
Solution
Given: td1 = 30°C, ϕ1 = 60% V1 =20 m3/min, td2 = 15°C, V2 =60 m3/min
The psychrometric process for mixing is shown in Fig. 20.25.
Locate point 1 (td1 = 30°C, ϕ1 = 60%) and point 2 (td2 = 15°C on the saturation curve)
From the psychrometric chart, we have
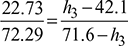
h1 = 71.6 kJ/kg.d.a., h2 = 42.1 kJ/kg.d.a.
v1 = 0.88 m3/kg.d.a., v2 = 0.83 m3/kg.d.a.


Figure 20.25

0.3144(71.6 − h3) = h3 − 42.1
h3 = 49.16kg/kg.d.a.
w3 = 0.012 kg/kg.d.a., ϕ3 = 88% and td3 = 18.8°C,
v3 = 0.843 m3/kg.d.a.
V̇3 = (ma1 + ma2)v3 = (22.73 + 72.29) × 0.843 = 80.1 m3/min
Leave a Reply