The Ackerman principle is that during turning of I-center of all wheels meet at a point, then the vehicle will take a turn at that point which results in pure rolling of the vehicle.

Ackerman condition for two-wheel steering:
Expressed as;
(6.1)
Where,
δo = Angle of outer wheel
δi = Angle of inner wheel
W = Track width
B = Distance between left and right kingpin centerline
L = Wheel base
Here, Ackerman condition is satisfied when I-centers of front wheels meet at a point on the rear axis of the vehicle which is the turning point of the vehicle.

Rack and pinion geometry

Where,
x = Length of steering arm
y = Length of tie rod
p = Length of rack casing
p+2r = rack ball joint center to center length
q = Rack travel distance
d = Distance between front axis and rack center axis
β = Ackerman angle
Equation: For toe zero condition
(6.2)
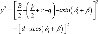
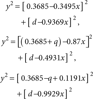
Equation: From inner wheel geometry
(6.3)
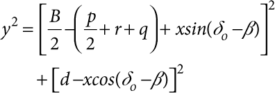
Equation: From outer wheel geometry
(6.4)
- For given rack and pinion, value of p and r is known.
- Value of B is fixed by track width of the vehicle and distance between wheel center andkingpin center.
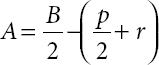
- Value of β is fixed by value of B and wheelbase L.

from this, 
Angle δi is the value of certain inner wheel angle at which we want to satisfy the ackerman principle in order to calculate outer wheel angle δo using this equation
(6.5)
- Now, we have 4 unknowns: x, y, d, q and 3 equations so any one variable we can fix either according to restriction if any or as per our comfort. After fixing any one variable, we can calculate value of the other three variables by solving these three equations.
- Thus, we have values of all x, y, d, q- steering geometry parameters and for this we will get perfect Ackerman condition when inner wheel is at angle δI and therefore outer wheel is at angle δo.
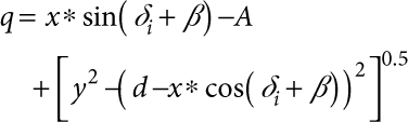
Rack travel q for any particular inner wheel angle δi:

Where 
Calculation of actual outer wheel angle δ o for any particular inner wheel angle δi:
(6.6)
To see deviation of designed steering geometry from the perfect Ackerman geometry (Geometry in which at every point of Ackerman principle is satisfied), plot graph for two curves:
- Outer wheel angle δo as per designed steering geometry v/s inner wheel angle δi.
- Outer wheel angle δo as per perfect Ackerman steering geometry v/s inner wheel angle δi.
- Now design steering geometries for different values (iterations) of inner wheel angle δi at which Ackerman condition is satisfied and select such geometry for which optimum deviation from perfect Ackerman geometry as well as steering effort are achieved.
Solved example:
- Wheelbase L = 1.524 m
- Track width W = 1.27 m
- B = 1.137 m
- β = 20.457 deg
- For Tata Nano rack p = 0.273 m and r = 0.0635 m
- x = 0.0753 m is fixed in this example due to restriction in length of steering arm because of knuckle design. Now, here suppose we want to achieve Ackerman condition when inner wheel angle δi = 40 deg and therefore as per Ackerman principle δo = 27.296 deg for given data.

By solving these three equations, we will get values Y, d and q
By applying and solving three equations of mathematical model for any vehicle, rack and pinion Ackerman steering geometry for any vehicle can be designed.


Travel of rack q = 0.0349 m (when inner wheel angle δi is 40 deg).
Now, for different inner wheel angle get value of outer wheel angle as per ideal Ackerman as well as actual steering geometry by using (5) and (6) respectively and then plot the graph for outer wheel angle (for ideal Ackerman and for actual geometry) v/s inner wheel angle.
Here graph is as shown below.

Leave a Reply