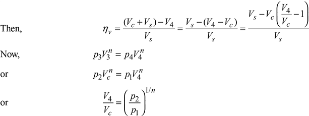
The volumetric efficiency of a reciprocating compressor is defined as the ratio of the actual free air delivered to the swept volume of the compressor. The free air delivered is (V1–V4), whereas the swept volume is (V1–Vc). Thus,

Let
clearance ratio




When referred to ambient conditions,


Leave a Reply