Room Equation

If we have a diffuse sound field (the same sound energy at any point in the room) and the field is also reverberant (the sound waves may come from any direction, with equal probability), then the sound intensity striking the wall of the room is found by integrating the plane wave intensity over all angles θ, 0 < θ < 90°. This involves a weighting of each wave by cos θ, and the average intensity for the wall in a reverberant field becomes

(3.75)equation

Note the factor 1/4 compared with the plane wave case.

For a point in a room at distance r from a source of power W watts, we will have a direct field intensity contribution W/r2 from an omnidirectional source to the mean square pressure and also a reverberant contribution.

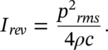
We may define the reverberant field as the field created by waves after the first reflection of direct waves from the source. Thus the energy/second absorbed at the first reflection of waves from the source of sound power W is W images, where images is the average absorption coefficient of the walls. The power thus supplied to the reverberant field is W(1 −images) (after the first reflection). Since the power lost by the reverberant field must equal the power supplied to it for steady‐state conditions, then

(3.76)equation

where p2rms is the mean‐square sound pressure contribution caused by the reverberant field.

There is also the direct field contribution to be accounted for. If the source is a broadband noise source, these two contributions: (i) the direct term p2d,rms = ρcW/4πr2 and (ii) the reverberant contribution, images. So,

(3.77)equation

and after dividing by p2ref, and Wref and taking 10 log, we obtain

(3.78)equation

where R is the so‐called room constant images.


Posted

in

by

Tags:

Comments

Leave a Reply

Your email address will not be published. Required fields are marked *