The static pressure ratio from Eq. (15.15) is,

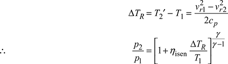
Temperature rise in rotating blades,

Pressure rise in rotating blades,


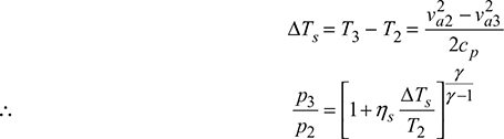
Pressure rise in stationary blades is,

Pressure increase in stage is,


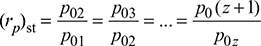
The stagnation pressure ratio is,

If the work done per stage is assumed to be the same, then number of stage z is given by,

If pressure ratio per stage is the same, then

The overall pressure ratio is,


Note that the pressure rise per stage in axial-flow compressor is less than that of a centrifugal compressor. This is because of no centrifugal action in axial flow compressor.
Leave a Reply