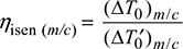
It is the isentropic efficiency of one stage of a multistage compressor. This small-stage efficiency is constant for all stages of a compressor with infinite number of stages.
Consider the compression process of a multistage compressor on a T-s diagram as shown in Fig. 15.6 from total pressure p01 to p02 in four stages of equal pressure ratio with intermediate pressure p0a, p0b, and p0c.
Overall isentropic stagnation efficiency of machine is,

Stagnation isentropic efficiency for the stage,

Total actual temperature rise,


Figure 15.6 Concept of polytropic efficiency
Now (ΔT0) m/c = (1 − a) + (a − b) + (b − c) + (c − 2)
Σ (dT0)st = (1 − a) + (a′ − b′′) + (b′ − c′′) + (c′ − 2′′)
On the T-s plot, the constant pressure lines diverge towards the right, therefore,
(a′ − b′′) > (a − b)
(b′ − c′′) > (b − c)
and so on.
Therefore, we can say that
Σ (dT0)st > (ΔT0) m/c
∴ ηisen (st) > ηisen (m/c)
The small stage efficiency ηisen (st) which is constant for all stages is called polytropic efficiency and is denoted by ηp.
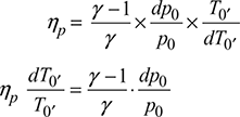
Let the law of compression for the irreversible adiabatic path 1 − 2′ be,

and for the isentropic path 1−2 is,

Eq. (15.20) can be written as:

Differentiating, we get


Differentiating, we get

Eq. (15.21) becomes 


Similarly, for the ideal compression process
we have


From Eq. (15.23), we have ![]()

Integrating between the end states 1 and 2′, we get


Leave a Reply