Historical Development of Reactive Muffler Theories

Although Quincke in the nineteenth century studied the interference of sound propagation through different length pipes, theory of real use in muffler design was not developed until the 1920s. This was probably partly because prior to this time it was difficult (if not impossible) to measure sound pressure quantitatively due to the lack of suitable microphones and partly, because there was less need to reduce the noise produced by less powerful engines.

In 1922 Stewart, in the USA, began developing acoustical filter theory using a lumped parameter approach [17]. In l927, Mason developed this theory further [18]. In Britain and Germany in the 1930s, work was conducted on designing mufflers for aircraft [19] and single‐cylinder engines [20].

However, it was not until the 1950s when another significant improvement in muffler theory occurred. Davis and his coworkers [21, 22] then developed theory for plane wave propagation in multiple expansion chambers and side‐branch resonators. They made many experiments and found that in general their predictions for TL were good, provided the cutoff frequency in the pipes and chambers was not exceeded in practice. Above this frequency, cross modes, in addition to plane waves, can exist and one of their theoretical assumptions was violated.

When Davis et al. tried to use their theories to design a helicopter muffler, their predictions were very disappointing, since they only measured IL values of about 10 dB, compared with the 20 dB they had expected from their TL theory. Davis et al. tried to explain this by saying that finite amplitude wave effects must be important. However, although these effects are important with concentric tube resonators, a more likely reason is their neglect of mean flow, which can be of particular importance in IL predictions. For a more complete discussion of the assumptions made by Davis et al. in their theory, see Ref. [22].

In the late 1950s Igarashi et al. began to calculate the transmission properties of mufflers using equivalent electric circuits [23–25]. This approach is very convenient. The total acoustic pressure and total acoustic volume velocity are related before and after the muffler by using the product of four‐terminal transmission matrices for each muffler element [5]. The equivalent electrical analog for a muffler is quite convenient since electrical theory and insight may be brought to bear. This approach does, however, assume linearity.

The four‐terminal transmission matrices are useful since it is only necessary to know the four parameters ABCD, which characterize the system to define its acoustical performance. The parameter values are not affected by connections to elements upstream or downstream as long as the system elements can be assumed to be linear and passive.

Several transmission matrices have been evaluated for various muffler elements by Igarashi et al. [23–25] and Fukuda et al. [26–28]. Parrott [29] also gives results for transmission matrices, some of which include the effects of a mean flow. However, note that in Ref. [29], Parrott presents a matrix (Eq. (10.28)) for a straight pipe carrying a mean flow of Mach number M, which is in error. Sullivan has given the corrected result in Ref. [30]. Ingard, and Bender and Bammer, recognized the importance of including both the source and tailpipe radiation impedance in muffler system modeling. Crocker [5] and Sullivan [30] continued with such modeling studies.

In the middle and late 1960s and early 1970s several workers including first Davies [31, 32] and then Blair, Goulbourn, Benson, Baites, and Coates [33–38] developed an alternative method of predicting muffler performance based on shock wave theory. Perhaps this work was inspired by Davis’s belief [21] that the failure of his helicopter muffler design was caused by the fact that exhaust pressures are much greater than those normally assumed in acoustical theory so that finite amplitude affects become important. This alternative approach involves the use of the method of characteristics and can successfully predict the pressure–time history in the exhaust system. Also, one‐third octave spectra of the acoustic noise have been predicted [38]. However, the method is time‐consuming and expensive and has difficulties in dealing with complex geometries and some boundary conditions. Although such an approach is probably necessary and useful with the design of mufflers for single‐cylinder engines, so far this method has found little favor with manufacturers of mufflers for multicylinder engines. It appears furthermore that Davis’ belief [21] may have been incorrect. There are several other possible reasons why Davis failed to obtain better agreement between theory and experiment, each of which can be important. These include [39]: neglect of source impedance effects, neglect of mean gas flow (and its effect on net energy transport), incorrect boundary conditions for exhaust ports and tail pipe, neglect of interaction between mean gas flow and sound in regions of disturbed flow, and, neglect of mean temperature gradients in the exhaust system.

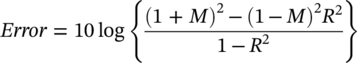
In 1970 Alfredson and Davies published work which shed new light on the acoustical performance of mufflers [39–43]. Alfredson mainly considered the design of long expansion chamber type mufflers commonly used on diesel engines. Alfredson’s work has been important since he has shown that (at least with the mufflers and engine he studied) that acoustical theory could be used to predict the radiated exhaust sound and the TL of a muffler and that finite amplitude effects can be neglected, provided that mean gas flow effects are included in the theory. Alfredson concluded that as the mean flow Mach number approached M = 0.1 or 0.2 in the tail pipe, the zero flow theory overpredicted the muffler effectiveness by 5–10 dB or more. The most serious discrepancy occurred for values of reflection coefficient R → l. This would occur for low frequencies (large wavelengths). Alfredson computed this error to be

(10.1)equation

and the result is plotted in Figure 10.5.

Graph depicts the radiated sound pressure level error due to neglect of mean flow, PR equal to R cross Pej-theta. Radiated sound pressure level calculated neglecting mean flow is low by the amount given here as error.
Figure 10.5 Radiated sound pressure level error due to neglect of mean flow, PR = R × Pe. Radiated sound pressure level calculated neglecting mean flow is low by the amount given here as error [39].

As a check on his acoustical theory and on Eq. (10.1), Alfredson later measured the attenuation of an expansion chamber and compared it with theory [41]. The result is shown in Figure 10.6. The good agreement between theory (with flow included) and experiment and the poor agreement with theory when flow was neglected seem to confirm that acoustical theory is probably adequate in many instances in muffler design, provided the effects of mean flow are included in the model where necessary. These conclusions are very important.

Schematic illustration of the influence of mean gas flow on effectiveness of silencer.
Figure 10.6 Influence of mean gas flow on effectiveness of silencer. ○, measured values: —— calculated, M = 0.15; ‐ ‐ ‐ ‐, calculated, M = 0.0 [41].

Another development occurred in 1970 when Young and Crocker began the use of finite elements to analyze the TL of automobile muffler elements [44]. The reason for the use of finite elements is that some chambers in reverse‐flow mufflers (e.g. flow‐reversing end chambers and end‐chamber/Helmholtz‐resonators combinations) are not axisymmetric. Thus, it is difficult, if not impossible, to analyze these chambers using classical assumptions of continuity of pressure and volume velocity at discontinuities, even in the plane wave region. The use of a numerical technique such as finite element analysis makes the acoustical performance of complicated‐shaped chambers possible to predict even in the higher frequency cross‐mode region. The work of Young and Crocker [44–48] is described in some detail later in this chapter.

Other investigators have since used finite elements in muffler design. Kagawa and Omote [49] have used two‐dimensional triangular ring elements. Craggs [50] has used isoparametric three‐dimensional elements, while Ling [51], using a Galerkin approach, included mean flow in his acoustical finite element model. However, Ling’s work was mainly concentrated on propagation in ducts rather than muffler design.

Side‐branch resonators (known by manufacturers as bean cans or spit chambers), see Figures 10.2 and 10.4, have also been studied by Sullivan and Crocker [52, 53]. In practical situations, axial standing waves can exist in the outer concentric cavity of the resonator. Previous theories had been unable to account for this phenomenon (assuming the cavity acts like a lumped parameter stiffness.) Sullivan’s work is also described in more detail later in this chapter [53–55]. Other developments in muffler design have included the Bond Graph approach by Karnopp [56, 57]. It is claimed that this approach can extend the frequency range of lumped parameter filter elements.

Another important topic little touched on until the 1980s is the effect of flow in mufflers. Various phenomena can occur. Noise can be generated by the flow process. Interactions can occur between the flow and sound waves. Fricke and Crocker found that the TL of short expansion chambers could be considerably reduced [58]. The effect appears to be amplitude dependent and a feedback mechanism was postulated. Kirata and Itow [59] have studied the influence of air flow on side‐branch resonators and concluded that the peak attenuation is considerably reduced by flow. Anderson [60] has concluded that a mean air flow causes an increase in the fundamental resonance frequency of a simple single side‐branch Helmholtz resonator connected to a duct.

Another important development, which occurred in the 1970s, is the two‐microphone method for determining acoustical properties described by Seybert and Ross [61]. White noise is used as a source. Two flush‐mounted wall microphones are used and measurements of the auto‐ and cross‐spectra enable incident and reflected wave spectra and the phase angle between the incident and reflected waves to be determined. The method can be used to measure impedance and TL. Agreement between this two‐microphone random noise method and the traditional standing wave tube method is very good and the method is much faster. Figure 10.7 shows a comparison between theory and experiment for the power reflection coefficient R for an open end tube and the phase angle [61]. Figure 10.8 shows the TL, of a prototype automobile muffler with a comparison between this method and the classical standing wave ratio (probe tube) method (SWR). For TL measurements, a third microphone was used downstream of the muffler.

Graphs depict the power reflection and phase angle for open end tube. Solid line represents theory and open square and open triangle.
Figure 10.7 Power reflection and phase angle for open end tube. Solid line: theory; open square and open triangle: experiment [61].
Graph depicts the measured values of transmission loss for prototype automotive muffler.
Figure 10.8 Measured values of transmission loss for prototype automotive muffler. ● : SWR method; +: two microphone random excitation method [61].

Ingard was one of the first researchers to recognize the importance of including both the source and tailpipe radiation impedance in muffler system modeling [62]. Later Bender and Brammer [63], Crocker [5], and Sullivan [30] also included source and radiation impedance in their models.


Tags:

Comments

Leave a Reply

Your email address will not be published. Required fields are marked *