Fast Fourier Transform Analysis

Although equipment for analyzing noise and vibration signals with constant frequency bandwidth filters and constant percentage bandwidth (CPB) filters are still available, these instruments have largely been replaced by Fast Fourier Transform (FFT) Digital Fourier analyzers. These types of analyzers give similar results in a fraction of the time and at a lower cost. These Fourier analyzers are manufactured by several companies and make use of the FFT algorithm which was published by Cooley and Tukey in l965 [18]. This algorithm is much faster than conventional digital Fourier transform algorithms and has made the digital FFT analyzer a useful, efficient means of signal analysis [19].

In digital FFT analyzers, the analog signal needs to be converted to digital. The signal is not only sampled discretely in time but quantized as well with discrete amplitude values. Because of sampling, the digital system is limited in frequency, which may cause some problems, such as aliasing. During the sampling process, the amplitude of each sample is represented and stored as finite binary numbers in a computer. Rounding errors produce a signal‐correlated noise, called quantization noise, which is another disadvantage of the digital system. So the sampling rate and resolution are two basic considerations of the ADC [20].

FFT analyzers operate on discrete blocks of data where each sample block is captured then analyzed while the next block is being captured, and so on. Unlike equipment which works on purely analog or hybrid analog/digital principles, the digital FFT analyzer makes all the analysis digitally. Since all the analysis results are in digital form, numerous calculations can be performed by such analyzers. The Fourier transform X(f) of a time signal x(t) may be calculated (see Eq. (1.6)). In addition, the auto‐power spectral density Gx(f) (Eq. (1.15)) may be calculated. A dual‐channel FFT analyzer is able to sample two input signals simultaneously and compute several joint functions. This type of analyzer is widely used in modal testing, electroacoustics, and vibroacoustics applications. If two signals x1(t), x2(t) are fed into the computer at once, then the cross‐spectral density G12(f) can be calculated [12, 13],

(1.17)equation

where the asterisk denotes the complex conjugate.

In general G12(f) is a complex quantity having both an amplitude and a phase. The phase is the relative phase between the two signals. The real and imaginary parts of the cross‐spectrum are referred to as the co‐spectrum and quad‐spectrum, respectively. The auto‐power spectral densities

(1.18)equation

(1.19)equation

are real quantities.

If x1(t) were an input (for example, a measured force) and x2(t) an output (for example, a measured displacement), then the transfer function H12(f) can be computed [5, 13],

(1.20)equation

The transfer function H12(f) is a complex quantity because it will have amplitude and phase. In addition, the coherence function (also called coherency squared) between the input and output may be calculated, defined by [12, 13]

(1.21)equation

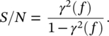
The coherence function varies between 0 and 1. If the coherence is 0 then the input and output are completely random with respect to each other. On the contrary, if the coherence is one, all the power of the output signal is due to the input signal, indicating a completely linearly dependence between the two signals. In cases where there are multiple inputs and a single output (e.g. several cylinders [inputs] on a diesel engine), but one microphone position (output), the situation becomes more complicated. However, in such cases the coherence function may be used to estimate the contribution to the output from each input. Main applications of the coherence function are in checking the validity of frequency response measurements and the calculation of the signal, S, to noise, N, ratio as a function of frequency [13]

(1.22)equation

Measurement of the coherence function, transfer function, cross‐ and auto‐power spectral densities have been successfully used to identify sources and predict noise levels in machinery such as diesel engines, punch presses, and other noise problems. The necessary theory is dealt with in detail in references [1, 2, 12] and in the application manuals supplied by the instrument manufacturers.

The FFT analyzer can also be used as a real‐time analyzer up to a certain frequency limit (which depends on the accuracy desired). CPB (such as one-octave and one‐third octave band) analysis can also be approximately performed from FFT spectra, as illustrated in Figure 1.13, where each decade is converted separately. The bandwidth of the individual lines in the original FFT spectra must be less than the percentage bandwidth being converted to at the lowest frequency in the FFT band. The conversion is achieved by calculating the lower and upper cutoff frequencies of each constant percentage band, and then integrating up the power in the FFT lines (and parts of lines) between the limits [21]. Care must be taken at low frequencies since just a few frequency samples may be available to calculate the band value.

Schematic illustration of the conversion from FFT spectra to a constant percentage bandwidth spectrum.
Figure 1.13 Conversion from FFT spectra to a constant percentage bandwidth (CPB) spectrum [21].

With the development of and decreasing prices of computer technologies, traditional FFT‐based instruments are becoming replaced by computer‐based instruments because of the processing, interfacing, and networking power of computers. Thus, digital signal processors can be replaced by specific software running on a personal computer. Computation speed reduction is not a problem because normally, calculations are made faster than they can be displayed. For data acquisition, since computers have hard drives of huge data storage capabilities, computers have advantages over traditional data logging equipment [20]. In addition, users can now develop their own programs to design instruments for noise and vibration signal analysis.


Posted

in

by

Tags:

Comments

Leave a Reply

Your email address will not be published. Required fields are marked *