The degree of reaction, Rd, is defined as the ratio of pressure rise in the rotor blades to the pressure rise in the compressor stage.
Pressure rise in the rotor blades ![]()

Pressure rise in the compressor stage


For 50% degree of reaction, ![]()

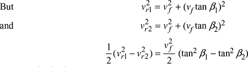
From Eqs (15.8) and (15.9), we have


Therefore, with 50% degree of reaction, the blades are symmetrical. This reduces the friction losses considerably.
Leave a Reply